碳酸氢根

1碳酸氢根(hco363)的原子排布为平面结构,碳位于中心,由于碳酸氢根
图片尺寸844x566
钠碳酸氢根同向转运体
图片尺寸3072x4096
10*10碳素盘根,碳纤维盘根性能
图片尺寸1920x1440
碳酸氢根
图片尺寸268x272
根系所需肥料与这3点有关系,其中吸水吸肥最重要_腾讯新闻
图片尺寸600x800
碳酸氢根离子不能和氢离子共存,生成二氧化碳和水.
图片尺寸640x256
图 二氧化碳,碳酸氢根和
图片尺寸1260x843
厂家供应盘根 柔性 10*10高压纯石墨盘根 耐高温耐磨 碳素盘根
图片尺寸400x298
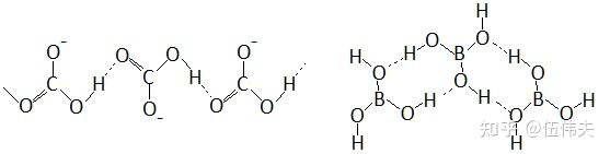
碳酸氢根不是能形成分子间氢键吗 那为什么碳酸氢钠的溶解度要比碳酸
图片尺寸557x141
碳纤维浸四氟盘根 浸四氟碳纤维盘根 碳素纤维盘根
图片尺寸3024x4032
化学大神进来,写出nh4hco3的电子式(最好以图片形式
图片尺寸303x147
齐明生产碳素盘根 根型号齐全
图片尺寸750x750
黑色碳纤维盘根 碳素纤维盘根碳化纤维盘根 优质耐高温高水基盘根
图片尺寸1024x768
氢氧根和碳酸根共存吗
图片尺寸640x366
河南30碳素盘根 阀门耐磨盘根环 芳纶四氟盘根生产厂家
图片尺寸800x800
碳酸氢根
图片尺寸220x214
碳素盘根四氟液碳素盘根芳纶碳素盘根河北廊坊科安
图片尺寸800x876
氢氧根和碳酸根共存吗
图片尺寸640x256
水产养殖中,为什么说碳酸根和碳酸氢根,决定了水体的总硬度?
图片尺寸1920x1080
血液运输二氧化碳的三种方式,其中碳酸氢根是最主要的方式
图片尺寸720x542