空气动力学公式图片

空气动力学基本公式集合
图片尺寸800x1132
空气动力学基本公式集合
图片尺寸959x1356
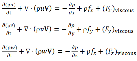
空气动力学的数学公式
图片尺寸329x268
空气动力学基础ppt
图片尺寸1080x810
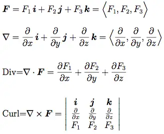
空气动力学的数学公式
图片尺寸473x212
气动控制设计 空气动力学与热功基础-努伯利方程及其应用ppt
图片尺寸1080x810
cd 后,接下来就可以代入下图的汽车空气动力学气动方程中进行计算
图片尺寸1920x720
空气动力学的数学公式
图片尺寸641x405
直观且方便地研究车辆的空气动力学,空气阻力可通过以下公式计算可得
图片尺寸1080x610
第7页 (共24页,当前第7页) 你可能喜欢 流体机械原理 空气动力学 叶轮
图片尺寸1080x810
空气动力学的数学公式
图片尺寸796x242
汽车空气动力学设计
图片尺寸908x605
空气动力学基本知识
图片尺寸780x429
汽车转向系统动力学
图片尺寸1080x810
空气动力学基本知识二
图片尺寸677x575
第三章 风力发电的空气动力学原理
图片尺寸371x254
风力发电功率和叶尖速比
图片尺寸617x671
2空气动力学基础-2-3 环量与涡量
图片尺寸1080x810
空气动力学突击6章5
图片尺寸1505x891
汽车气动阻力与气动声学开发的区别与联系_空气动力学__汽车测试网
图片尺寸531x475