立方根公式表

立方根公式立方差公式
图片尺寸500x375
立方根表
图片尺寸644x463
实用的平方根表立方根表2页
图片尺寸920x1302
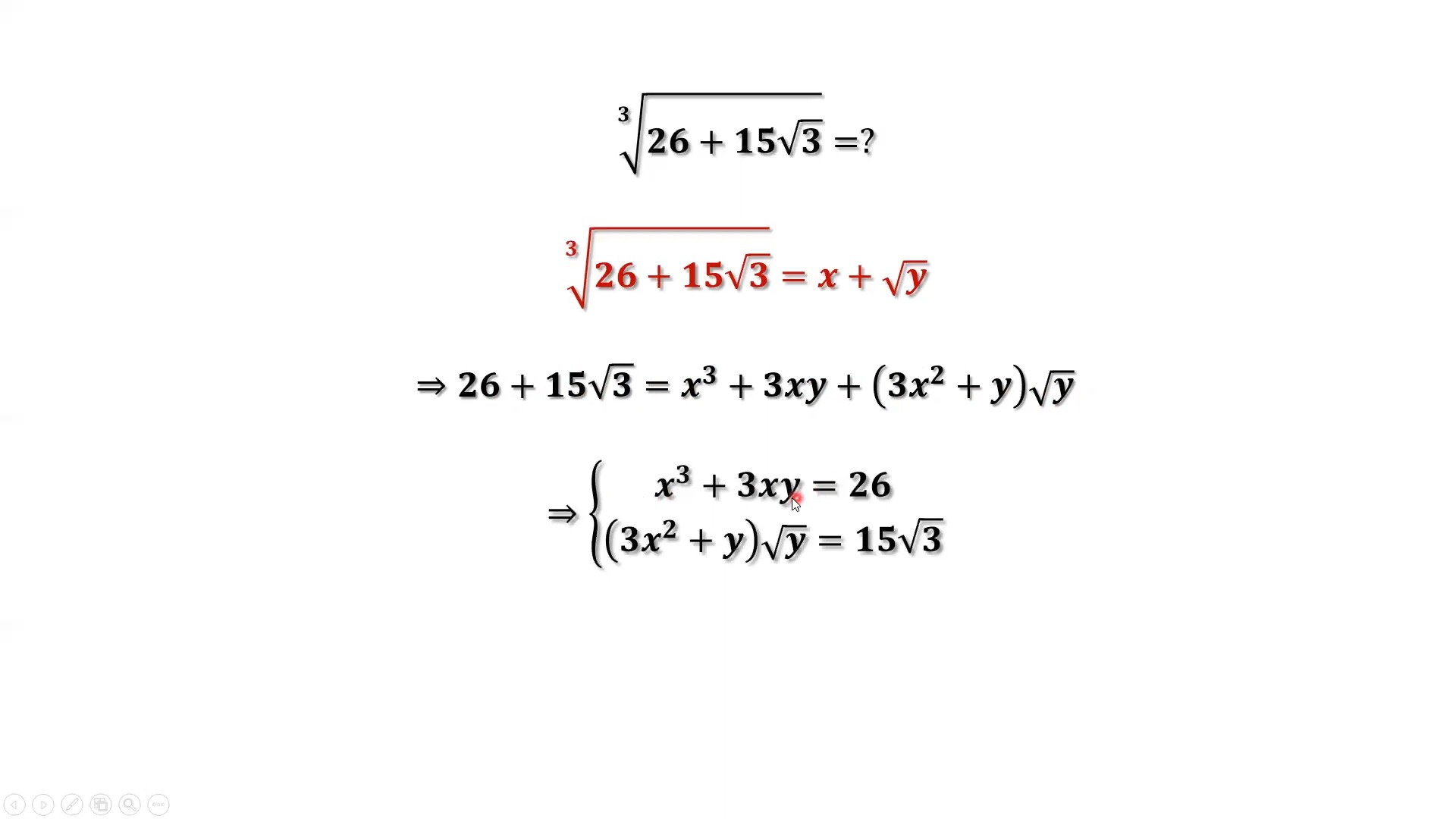
求 (26 15根號(3))的立方根 中學奧數
图片尺寸1920x1080
立方根#家长收藏孩子受益 #数学 #每天跟我涨知识 @dou - 抖音
图片尺寸1080x1433
实用的平方根表立方根表docx
图片尺寸920x1303
1到20的立方表
图片尺寸782x401
实用的平方根表立方根表
图片尺寸605x1001
1一20的立方表
图片尺寸600x400
100以内数立方根表
图片尺寸959x619
初中常用立方平方根立方根表
图片尺寸920x1302
初中常用立方平方根立方根表
图片尺寸920x1303
2 立方根(共15张ppt)
图片尺寸1080x810
平方立方根表
图片尺寸691x1078
62立方根2
图片尺寸920x690
1---50平方,立方,平方根,立方根表
图片尺寸920x1302
人教初一数学下册《立方根ppt课件》
图片尺寸1080x810
平方,立方根表
图片尺寸632x573
实用的平方根表立方根表
图片尺寸920x1303
6.2 立方根 知识点 - 抖音
图片尺寸800x1767