竞价表

郑州大学货物采购竞价单.doc
图片尺寸1123x794
2020厦门地方储备轮换粮竞价明细表.doc 1页
图片尺寸993x1404
竞价考核表
图片尺寸704x998
激光打印机供货竞价一览表.pdf 6页
图片尺寸800x1131
竞价推广关键词效果数据分析表
图片尺寸860x1295
东区松苑中学2020年校园责任险采购项目竞价公告
图片尺寸694x428
网上商城采购竞价清单(xx市xx小学)【模板】
图片尺寸808x1102
百度竞价推广数据统计效果反馈表
图片尺寸817x1182
协议供货竞价一览表-福清市政府采购网.pdf
图片尺寸800x1131
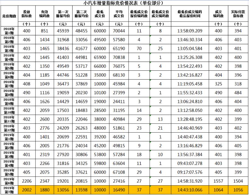
中小客车增量指标竞价情况表
图片尺寸761x679
上海黄金交易所竞价交易合约参数表.pdf
图片尺寸631x859
竞价推广月报表
图片尺寸722x1030
广州市中小客车指标竞价情况表
图片尺寸1108x574
竞价排名关键字工作表
图片尺寸898x533
广州市中小客车指标竞价情况表
图片尺寸1065x595
郑州大学货物采购竞价单采购人发出询价时间20166.12供应商报价.doc
图片尺寸1404x993
2018年3月23日2017年产东北贸易粮(玉米)专场竞价销售清单
图片尺寸1041x429
最新粤b牌竞价结果出炉 112人以1万元拿到单位车牌指标
图片尺寸817x643
2020年1月中小客车增量指标竞价情况表
图片尺寸800x332
杭州市小客车增量指标竞价情况表
图片尺寸944x366