第一卦限

yoz 面 Ⅳ xoy 面 Ⅶ Ⅷ o y Ⅵ Ⅴ Ⅰ x 空间直角坐标系共有八个卦限
图片尺寸1080x810
卦限 (1)卦限的概念 卦限的 z x o 三个坐标平面将空间分成八个
图片尺寸1080x810
高数卦限要怎么看
图片尺寸444x325
yz 面 Ⅳ xy 面 x Ⅶ o y Ⅰ Ⅵ Ⅴ Ⅷ 空间直角坐标系共有八个卦限
图片尺寸1080x810
xoy面 Ⅶ Ⅷ o y Ⅵ Ⅴ Ⅰ x 空间直角坐标系共有三个坐标面,八个卦限
图片尺寸1080x810
八个卦限1.1.2向量的线性运算1.1.1向量的概念1.1向量及空间坐标系1.
图片尺寸749x454
人用四象限图 才:限制录 用 破格 重 德 用决坚不用 养使培用 2016/6
图片尺寸1080x810
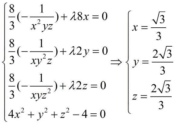
【高数!】在椭球面4x^2 y^2 z^2=4的第一卦限部分上求一点
图片尺寸579x409
=0及球心在原点,半径为r的上半球面所围成的在第一卦限内的立体的体积
图片尺寸812x562
"第一象限代表的是重要又紧急的事,第二象限是重要但不紧急的事,第
图片尺寸960x720
2013专转本第五讲 空间解析几何,级数及微分方程ppt
图片尺寸1080x810
把含三个坐标轴正方向的那个卦限为第一卦限.
图片尺寸1080x810
人生四象限 - 虹的日志 - 网易博客
图片尺寸429x315
设曲面∑为平面x y z=1在第一卦限的部分,则∫∫∑xds=
图片尺寸378x283
matlab 画三维坐标系中单位球面,要求第一卦限为空?
图片尺寸560x420
它们把空间分成8部分, 4 我们把每一部分分别叫 做 第1卦限
图片尺寸1080x810
卦限怎么划分(空间卦限怎么划分) | 苏普百科
图片尺寸640x320
空间向量的八个卦限
图片尺寸188x199
空间中的八个卦限
图片尺寸920x1302
高等数学课件 三个坐标平面分空间为八个卦限 (演示) 演示) z 三个
图片尺寸1080x810