等距取样法

等距取样法
图片尺寸1080x810
等距取样法
图片尺寸1080x810
1种群的特征 五点取样法 等距取样法 在统计样方中个体数量时,遇到的
图片尺寸1080x810
土壤地理学实验ppt
图片尺寸1080x810
敬请批评指正 五点取样法 等距取样法 7
图片尺寸1080x810
图4, 四分法图解通常情况,牛奶,蜂蜜等液体样品充分混匀后取样待测.
图片尺寸297x604
等距取样法
图片尺寸1080x810
课标必修三稳态与环境种群的特征一节中的探究实验设计 2,等距取样法
图片尺寸1080x810
化验分析的取样及样品处理
图片尺寸666x1000
大棚群根据要求随机选取取样棚,确定为取样棚后对每个育苗池烟苗进行
图片尺寸805x1006
取样方法的介绍
图片尺寸440x220
图片浏览
图片尺寸408x157
环境监测基础知识——土壤环境监测技术之采样制样
图片尺寸585x340
从样方法谈随机取样
图片尺寸718x283
方形,地势平坦,肥力较均匀的田块可用此法(见图1—1),取样点不少于5个
图片尺寸588x181
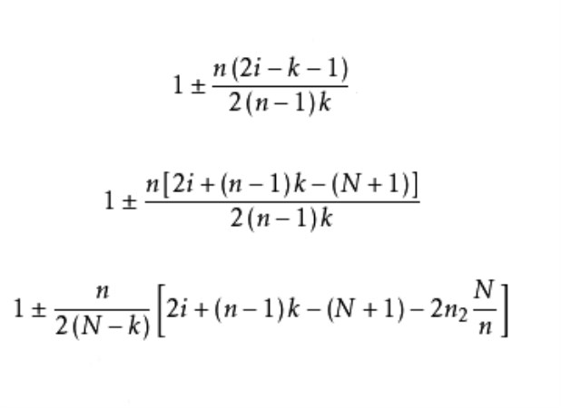
等距抽样二端修正法
图片尺寸618x450
系统抽样(systematic sampling),也称等距抽样.
图片尺寸920x437
五点取样法
图片尺寸1080x810
种群密度调查方法 标志重捕法 估算法 五点取样法 样方法 等距取样
图片尺寸1080x810
等距随机抽样机械
图片尺寸603x459