箱式图和散点图

箱线图 散点 差异显著性检验-阿里云开发者社区
图片尺寸1188x1080
论文做图随记
图片尺寸546x394
什么软件能把箱线图和散点图作在同一张图上?求origin75教材
图片尺寸450x449
数据可视化r语言ggplot2包绘制箱线图叠加散点图
图片尺寸1400x1600
跟着cell学作图3箱线图散点差异显著性检验
图片尺寸912x352
箱式图及散点图解释
图片尺寸893x427
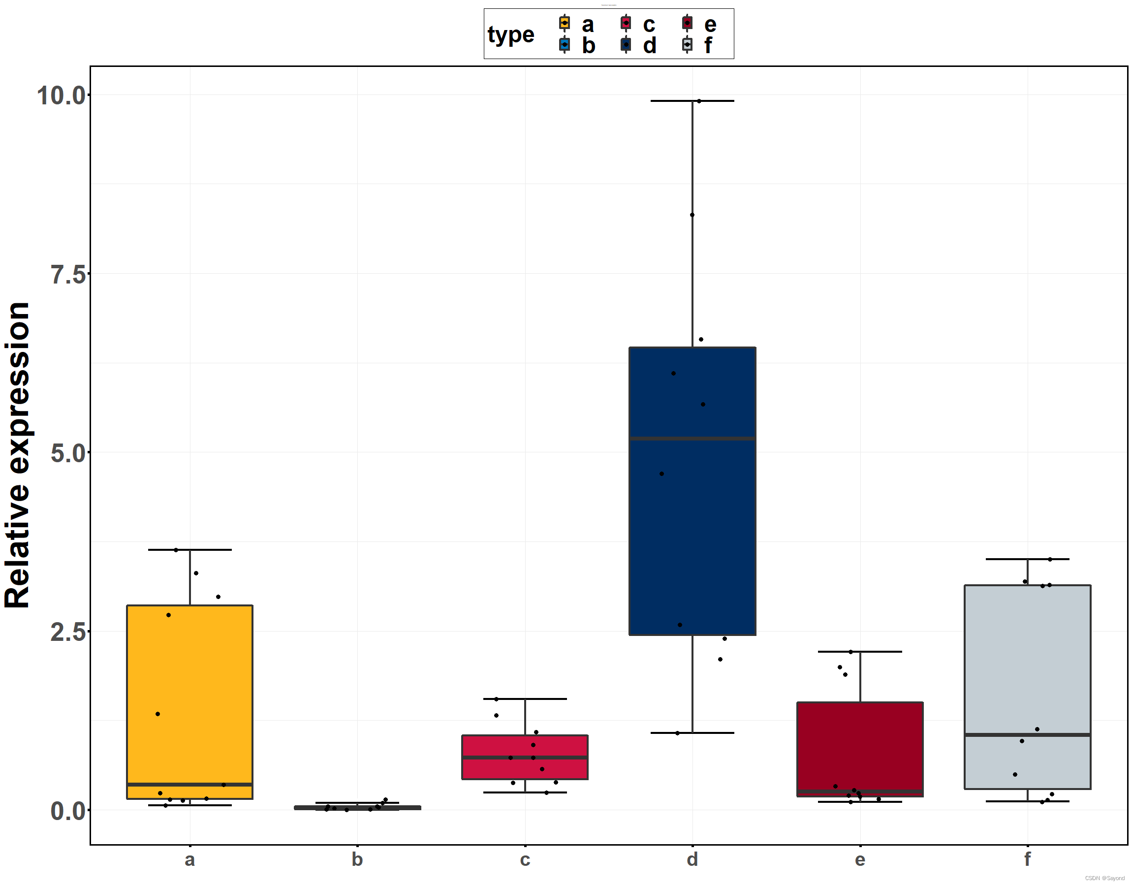
ggplot2绘图qpcr数据箱式图叠加散点图1
图片尺寸2300x1800
在这里插入图片描述
图片尺寸583x366
excel画带箱线图的散点图
图片尺寸640x329
使用matplotlib向箱线图添加点散点图addingascatterofpointstoabox
图片尺寸492x343
python箱形图
图片尺寸606x405
python绘制箱线图带散点显示中文字保存高清图
图片尺寸1573x1102
ggplot2箱线图绘制规范
图片尺寸3000x2100
箱形图怎么看以及它反映了什么
图片尺寸535x360
箱线图怎么判断异常值什么箱线图它能在什么场景下进行数据分析
图片尺寸720x540
判断数据集的数据离散程度和偏向(观察盒子的长度,上下隔间的形状
图片尺寸803x363
质量管理-散点图
图片尺寸457x481
python数据建模常用可视化总结
图片尺寸869x489
3-6:4 组的箱线图显示了组间的显著差异
图片尺寸1000x1005
qplotggplot2 绘制箱型图,散点图
图片尺寸504x468