累乘法

高中数学,掌握累乘法的特点,求数列的通项,很简单!
图片尺寸640x637
【每日一题】数列基础题型——累乘法
图片尺寸960x600
【原创】爱就在一起——累乘法求数列的通项
图片尺寸600x304
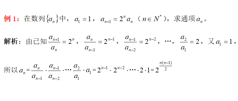
递推公式(累乘)
图片尺寸1080x810
项公式 ①累加法,如 a n 1 a n f (n) an 1 f ( n) ②累乘法
图片尺寸1080x810
高中数学数列.求题中累乘法的过程
图片尺寸920x1632
数列中的累加法和累乘法手什么回事啊?请大神举个例题?
图片尺寸656x332
数列之累加法与累乘法老师专用
图片尺寸920x1301
用累乘法求数列的通项公式
图片尺寸1278x717
高二数学 #高三一轮复习 #数列 #数列专题 #累加法 #累乘法
图片尺寸1080x1397
数列通项公式的求法第2课时累加法累乘法ppt课件
图片尺寸800x450
方法1累加法与累乘法pdf
图片尺寸860x1216
请给我讲讲累乘法和累加法,讲的好的同学可以获得悬赏哦.择优录取!
图片尺寸465x454
数列通项公式的求法第2课时累加法累乘法ppt课件
图片尺寸800x450
二,累乘法(又称叠乘法)
图片尺寸914x396
数列通项求法累乘法待定系数法docx2页
图片尺寸860x1218
《12》累乘法求数列通项
图片尺寸768x480
二,累乘法(又称叠乘法)
图片尺寸848x798
高考数列通项公式解题方法1观察法公式法累加法累乘法
图片尺寸795x339
数列通项公式累乘法
图片尺寸1080x809