纤维素分子式

英国科学家正研究将纤维素用于3d食品打印
图片尺寸483x213
淀粉与纤维素性质,结构的异同
图片尺寸673x276
微晶纤维素|α-cellulose|9004-34-6|acros|average particle size 50
图片尺寸998x1004
纤维素
图片尺寸1089x390
纤维素结构
图片尺寸1078x320
密度板生产用的主要植物纤维原料的种类,基本组成和特性
图片尺寸511x176
棉纤维和麻纤维的主要成分为纤维素,分子式为c6h10o5.
图片尺寸500x279
纤维素的分子化学结构
图片尺寸549x266
图 纤维素的化学结构
图片尺寸1575x445
纤维素分子的结构公式
图片尺寸700x394
纤维素纤维的结构和主要性能_大分子
图片尺寸1080x375
纤维素结构式是什么
图片尺寸584x455
羟丙基甲基纤维素 分子结构式
图片尺寸480x245
纤维素结构
图片尺寸423x299
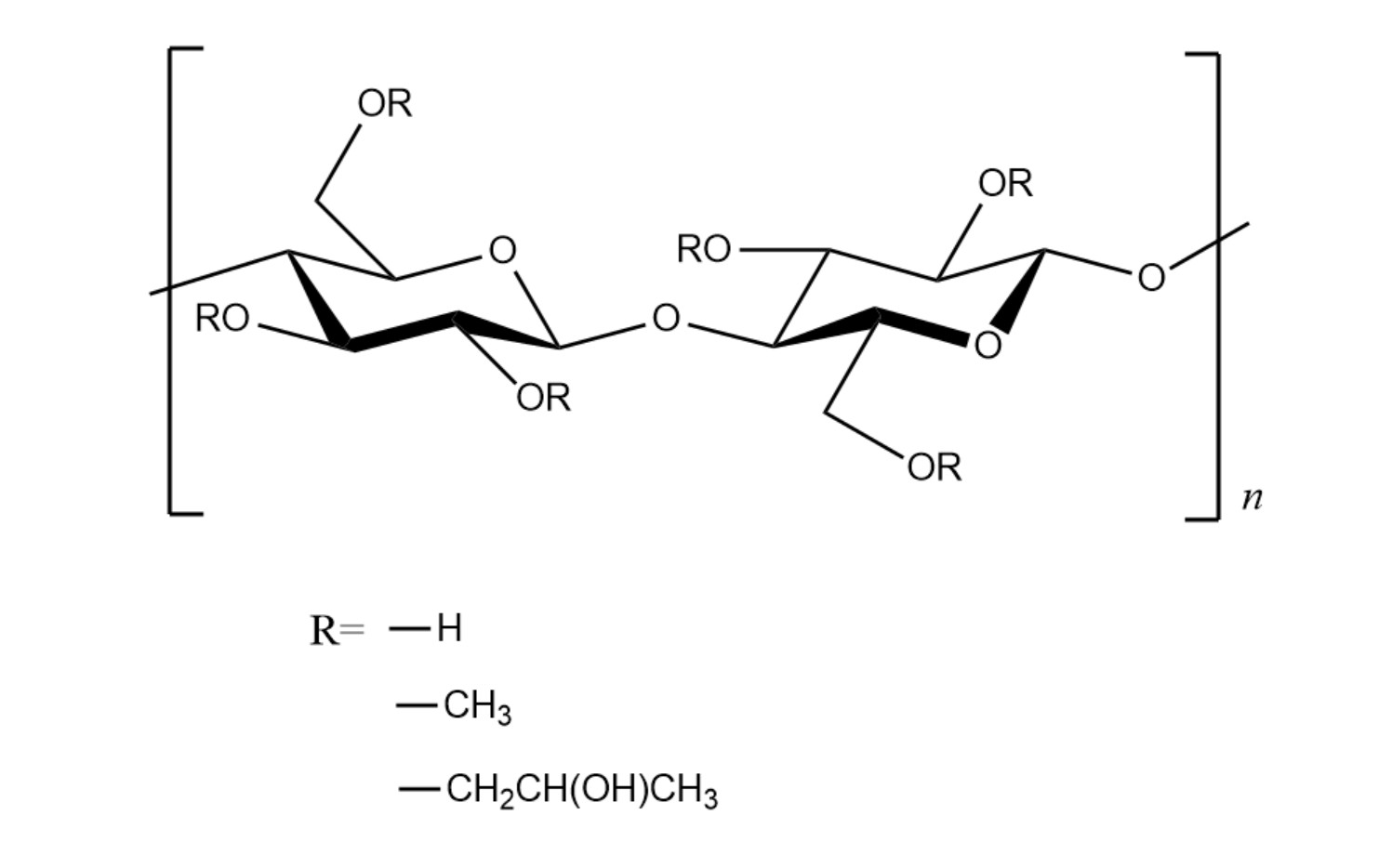
羟丙基甲基纤维素
图片尺寸1497x934
34纤维素
图片尺寸956x347
木材的化学性质:纤维素的分子结构
图片尺寸600x235
bc和植物纤维素具有相同的化学结构,如图3所示,bc分子结构式为
图片尺寸1575x772
组成竹纤维的主要物质是纤维素,它的分子式为(c6h10o5)n,聚合度一般为
图片尺寸640x245
ca135k 醋酸纤维素分子量标准品 (celulose acetate)
图片尺寸450x250