纤维素的分子式

英国科学家正研究将纤维素用于3d食品打印
图片尺寸483x213
棉纤维和麻纤维的主要成分为纤维素,分子式为c6h10o5.
图片尺寸500x279
纤维素
图片尺寸1089x390
组成竹纤维的主要物质是纤维素,它的分子式为(c6h10o5)n,聚合度一般为
图片尺寸640x245
纤维素结构
图片尺寸1078x320
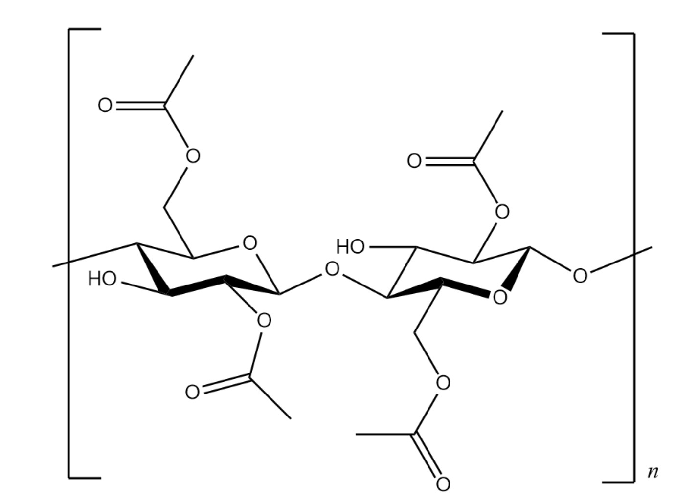
醋酸纤维素
图片尺寸1427x1031
纤维素分子的结构公式
图片尺寸700x394
红茶菌中产细菌纤维素菌株的筛选及鉴定2
图片尺寸523x180
1,每个葡萄糖基中含一个侧链羟基(-oh)和两个环中羟基;2,纤维素分子是
图片尺寸1280x824
纤维素是生物大分子吗
图片尺寸750x300
纤维素的分子式为(c6h10o3)n,结构式如下:1.
图片尺寸1080x375
木材的化学性质:纤维素的分子结构
图片尺寸600x235
纤维素的分子化学结构
图片尺寸549x266
醋酸纤维素分子结构式
图片尺寸458x243
密度板生产用的主要植物纤维原料的种类,基本组成和特性
图片尺寸511x176
微晶纤维素|α-cellulose|9004-34-6|aldrich|microcrystalline
图片尺寸998x1004
纤维素分子结构示意图
图片尺寸753x223
羟丙基纤维素|hydroxypropyl cellulose|9004-64-2|alfa|m.w.
图片尺寸2042x908
34纤维素
图片尺寸956x347
纤维素 (cellulose) 是自然界中含量最为丰富的天然高分子
图片尺寸1575x445