线性方程

急:求线性方程组 的通解
图片尺寸1200x1600
当λ取何值时,线性方程组: 有唯一解,无解,有无穷多解?
图片尺寸531x533
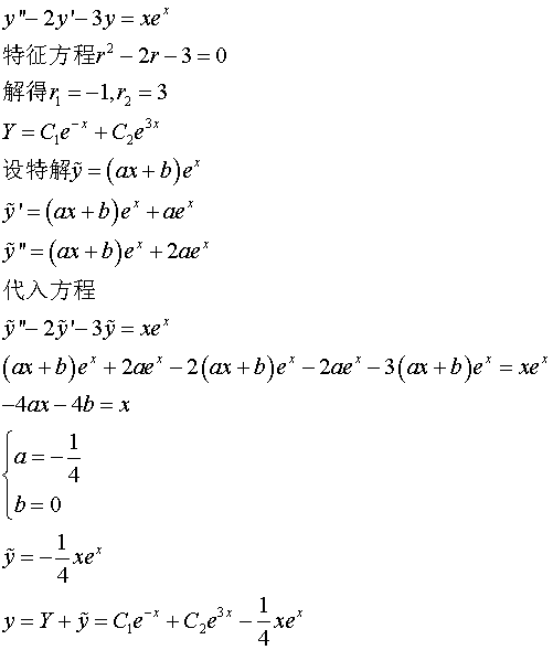
解二阶常系数非齐次线性微分方程
图片尺寸501x589
线性方程组的矩阵解
图片尺寸1080x810
线性方程组中k等多少时有解?
图片尺寸650x518
二阶常系数线性齐次微分方程
图片尺寸1080x810
这道高数怎么求法线方程
图片尺寸960x711
求齐次线性方程组的一个基础解系,并求方程组的通解,如图
图片尺寸3264x2448
求解 非齐次线性方程组 线性代数
图片尺寸620x829
【2023考研数学一数二数三通用】马同学图解线性代数 线性方程组求解
图片尺寸800x800
求下列线性方程组的通解
图片尺寸650x729
3线性方程组
图片尺寸920x1302
一阶线性微分方程通解公式疑问
图片尺寸790x489
线性方程组
图片尺寸3772x1932
线性代数笔记线性方程组的解
图片尺寸1080x1440
高数一阶线性微分方程.这么简单的题,我怎么总是算不对.
图片尺寸612x816
4《线性回归方程》(2)(苏教版必修三) (1)ppt
图片尺寸1080x810
大学线性代数,这个行列式方程的具体化简求解过程
图片尺寸716x960
一阶线性微分方程dy/dx p(x)y=q(x)的通解公式怎么理解?
图片尺寸568x424
一阶线性微分方程问题
图片尺寸3264x2448