线速度公式

线速度公式 - 百度文库
图片尺寸496x702
研究圆周运动规律(适用沪科版) 一,知识梳理 二,规律应用 2,线速度
图片尺寸1080x810
【高中物理】高考物理重要公式大集合,考前收藏!
图片尺寸804x1218
物理公式大全 速度公式:s—路程—米(m);t—时间—秒(s);v—速度—米
图片尺寸496x702
高中物理匀变速直线运动公式整理大全沐风教育
图片尺寸920x1302
角速度与线速度的关系-匀速圆周运动的相关公式-周期频率转速之间的
图片尺寸500x375
匀速圆周运动 1,线速度v: 弧长 2r v t t 该点切线方向 圆心角 2 2f
图片尺寸500x375
线速度计算实例
图片尺寸893x457
周期,角速度,线速度,转速之间的关系
图片尺寸630x990
速度公式:v=v _____ 1 2 v0t at 2.位移公式:s=________ 2 -v0
图片尺寸1080x810
匀加速直线运动的各种公式及比例关系
图片尺寸920x1302
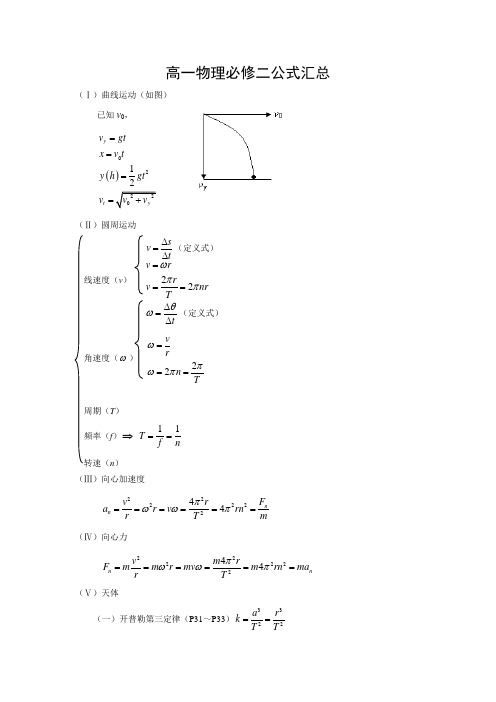
公式汇总 (Ⅰ)曲线运动(如图) 已知v0, (Ⅱ)圆周运动 (定义式) 线速度
图片尺寸496x702
v=x/t v是平均速度(m/s)x是位移(m)t是时间(s); 2.
图片尺寸496x702
匀变速直线运动的比例式及推论1匀变速直线运动 的常用公式: 速度公式
图片尺寸1080x810
恒线速度切削计算公式-爱问教育培训
图片尺寸570x228
频率(f):赫(hz);周期(t):秒(s);转速(n):r/s;半径(r):米(m);线速度(v)
图片尺寸793x493
物理——推导圆周运动线速度和角速度的关系(要有详细的推导过程,妹纸
图片尺寸574x372
第1节 机械运动(速度公式的应用)
图片尺寸720x540
一质点沿x轴作直线运动,加速度为a=-kv,式中k为常数,当t=0时x=x0,v=v0
图片尺寸450x347
公式 圆周运动运动学注意事项: 1同轴转动角速度相等,相接触的各点线
图片尺寸496x702