维生素b12结构式

维生素b12结构式
图片尺寸331x414
结构式搜索委托采购展会求购企业字典产品产品产品中心
图片尺寸300x300
维生素b12结构式
图片尺寸282x385
vitamin b12结构式
图片尺寸365x365
【化学结构式】
图片尺寸617x396
维生素b12结构式
图片尺寸358x272
分子结构式
图片尺寸500x500
vitamin b12 是一种水溶性维生素,对大脑和神经系统的正常运作,及血液
图片尺寸600x400
【化学结构式】
图片尺寸506x311
几块钱一瓶的维生素b12,到底有什么作用?补充时应注意什么
图片尺寸300x300
抗恶性贫血维生素【分子式】 :c63h88con14o14p【外文名】vitamin b12
图片尺寸200x249
现代人应该知道的维生素家族小传(十一)维生素b12
图片尺寸4032x3024
维生素b12结构图
图片尺寸900x798
维生素b12注射液
图片尺寸400x297
维生素b12的结构
图片尺寸479x642
维生素b12(综述)名师优质资料
图片尺寸818x495![化学结构式:化学名称:coα-[α-(5,6-二甲基苯并咪唑基)]-coβ氰钴](https://i.ecywang.com/upload/1/img2.baidu.com/it/u=2050281593,1838746693&fm=253&fmt=auto&app=138&f=JPEG?w=734&h=405)
化学结构式:化学名称:coα-[α-(5,6-二甲基苯并咪唑基)]-coβ氰钴
图片尺寸734x405
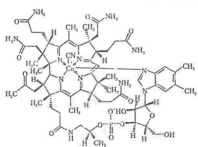
其结构式为
图片尺寸399x268
有维生素b12和b6的结构式吗? 看见你的信息了!
图片尺寸1149x614
黑板上写着维生素b12的化学式
图片尺寸795x1200