缀合

辣根过氧化物酶针对缀合进行了优化货号11021aatbioquest荧光染料
图片尺寸1000x1218
第一种方案:a 缀合1,与缀合2
图片尺寸1024x660
【二手八成新】殷墟文字缀合1955一版一印
图片尺寸1200x1600
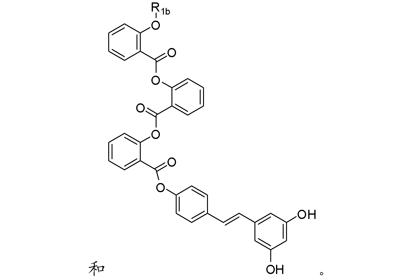
水杨酸盐酯缀合物在制备用于治疗代谢性病症的药物中的应用
图片尺寸1375x911
用于肿瘤治疗的靶向阿霉素金纳米缀合物
图片尺寸1708x1102
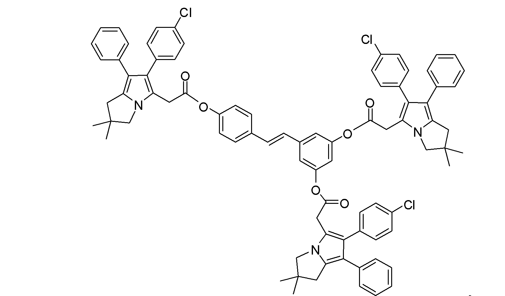
水杨酸盐酯缀合物在制备用于治疗代谢性病症的药物中的应用
图片尺寸1981x808
位点特异性抗体62药物缀合物_cn201680022839.2_度衍网
图片尺寸1000x685
ai驱动的甲骨缀合
图片尺寸2265x2068
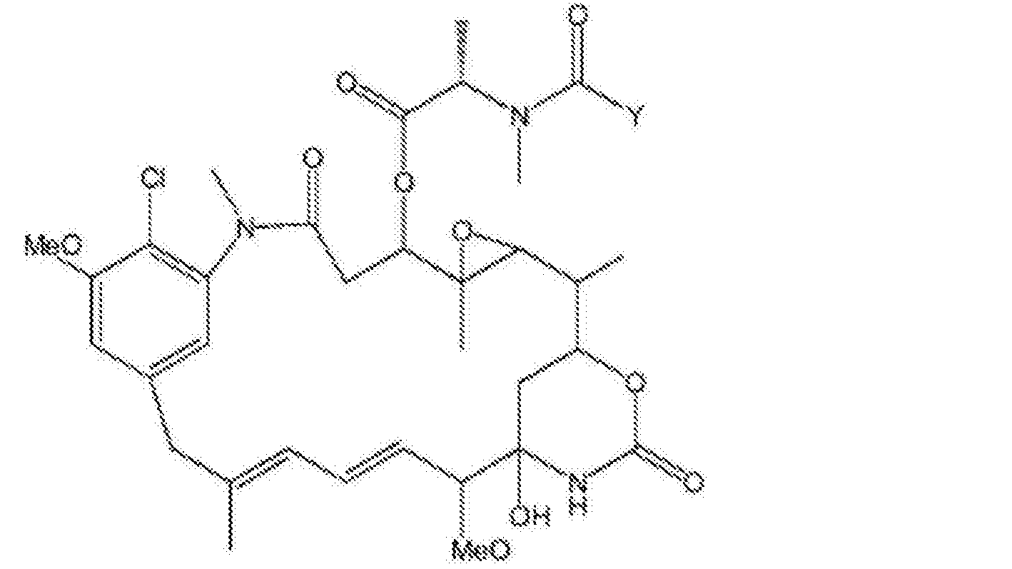
水杨酸盐酯缀合物在制备用于治疗代谢性病症的药物中的应用
图片尺寸1633x957
新书推荐 | 《甲骨缀合三集》
图片尺寸1000x562
e:我的缀合图60(2).jpg
图片尺寸1559x2003
jafc封面:青砖茶茶多糖缀合物的乳化性质
图片尺寸1080x1436
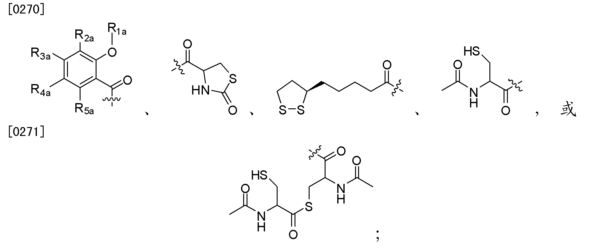
羟考酮的苯甲酸缀合物苯甲酸衍生物缀合物和杂芳基羧酸缀合物
图片尺寸526x328
西南大学历史博物馆藏甲骨缀合一则
图片尺寸1449x1433
肽核酸缀合物的制作方法
图片尺寸1000x451
改进的螯合剂缀合物
图片尺寸1566x800
用作抗有丝分裂以及抗肿瘤药物的紫杉类缀合物.pdf
图片尺寸800x1133
用于表征位点特异性抗体药物缀合物的生物分析性方法与流程
图片尺寸1000x893
用于制备细胞结合剂62细胞毒性剂缀合物的方法
图片尺寸1418x797
细胞穿透肽包含该肽的缀合物及包含该缀合物的组合物
图片尺寸1928x2845