缩聚反应条件

p data-id="gnvhs9no4g">缩合聚合反应,简称缩聚反应,是指由一种或多
图片尺寸788x607
中学常见的缩聚反应
图片尺寸654x473
6,缩聚反应
图片尺寸1080x810
高中化学常见缩聚反应方程式_百度知道
图片尺寸474x276
加聚反应和缩聚反应
图片尺寸920x1302
酚醛树脂与缩聚反应
图片尺寸920x1303
高三缩聚反应简单的 为什么cn在第二位 能在第一位吗
图片尺寸1040x780
第一节(第二课时) 缩聚反应.ppt
图片尺寸1152x864
人教版高中化学选修5-第五章章末复习:知识总结:加聚反应与缩聚反应的
图片尺寸1080x810
加聚反应和缩聚反应
图片尺寸920x1303
缩聚反应polycondensationppt演示课件_第2页
图片尺寸920x690
理化生 高二理化生 合成高分子化合物的基本方法ppt (2)缩聚反应 ①醇
图片尺寸1080x810
聚氨基酸类:—nh2与—cooh间的缩聚
图片尺寸1080x810
羟醛缩合反应原理是什么
图片尺寸2048x1536
加聚反应和缩聚反应
图片尺寸800x600
缩醛水解机理_哔哩哔哩_bilibili
图片尺寸1733x1084
举例说明缩聚反应
图片尺寸920x1303
5512缩聚反应
图片尺寸1280x720
缩聚反应00203ppt
图片尺寸800x600
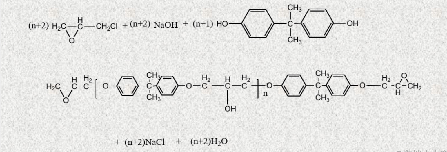
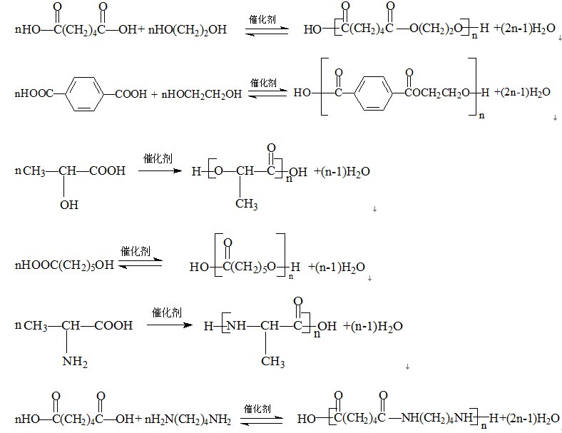
dimensional polycondensation)也是一种缩聚反应过程,其特点是在缩聚
图片尺寸1542x526