罗尔定理

罗尔定理
图片尺寸640x421
罗尔定理ppt
图片尺寸1080x810
罗尔定理
图片尺寸426x333
罗尔定理
图片尺寸970x1355
冲刺小专题14-罗尔定理考查-构造函数.罗尔定理是中值定理证 - 抖音
图片尺寸1532x843
二,罗尔定理 费马(fermat)引理 设 f(x0)为函数 f(x)在开区间(a b)
图片尺寸1080x810
罗尔定理练习03
图片尺寸501x344
用罗尔定理怎么证啊π_π
图片尺寸1792x588
> 罗尔定理
图片尺寸718x473
罗尔中值定理
图片尺寸920x1302
罗尔定理练习02
图片尺寸558x340
罗尔定理练习01
图片尺寸588x457
罗尔定理论文
图片尺寸920x1302
罗尔定理 第1页 下一页 相关主题 你可能喜欢
图片尺寸1080x810
罗尔定理 - 知乎
图片尺寸816x711
罗尔中值定理
图片尺寸1080x628
1 罗尔定理 (1) 几何意义 结论:一条闭区间上的连续曲线y=f(x),如果
图片尺寸1080x810
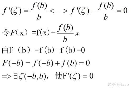
罗尔定理 - 知乎
图片尺寸1048x482
kaysen学长微分中值定理罗尔定理篇万能爱情模型全搞定
图片尺寸9449x9409
罗尔定理
图片尺寸1319x774