罗沙司他结构式

罗沙司他分子结构式
图片尺寸635x293
罗沙司他
图片尺寸600x600
roxadustat的分子结构
图片尺寸300x300
罗沙司他n-1结构式
图片尺寸605x375
罗沙司他杂质6分子量:350.37分子式:c20h18n2o4cas no.
图片尺寸738x317
干货罗沙司他药物报告roxadustatdrugreport
图片尺寸695x856
罗沙司他roxadustatfg4592
图片尺寸340x274
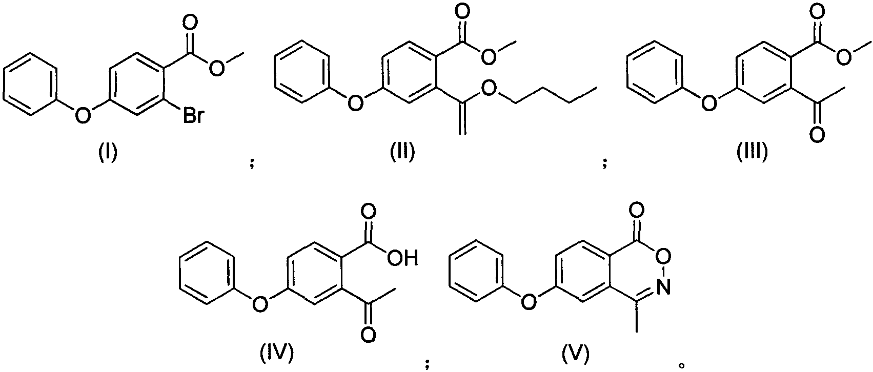
一种罗沙司他的合成方法及其中间体化合物
图片尺寸1703x726
罗沙司他n-1
图片尺寸492x172
罗沙司他标准品001 结构式
图片尺寸285x274
产品编号:r025005罗沙司他杂质5分子量:309.36分子式:c19h19no3cas n
图片尺寸739x326
干货罗沙司他药物报告roxadustatdrugreport
图片尺寸693x829![化学结构式:本品主要成份为9-[o-[(2-甲氧基乙氧基)甲基]肟]红霉素](https://i.ecywang.com/upload/1/img2.baidu.com/it/u=489886001,306015382&fm=253&fmt=auto&app=138&f=JPEG?w=500&h=411)
化学结构式:本品主要成份为9-[o-[(2-甲氧基乙氧基)甲基]肟]红霉素
图片尺寸759x624
罗沙司他杂质abcdefghjkl
图片尺寸493x174
罗沙司他
图片尺寸385x240
罗沙司他杂质2分子量:352.34分子式:c19h16n2o5cas no.
图片尺寸347x298
本文通过研究罗沙司他(roxadustat)晶型专利规避方法,为仿制药研发者
图片尺寸381x266
罗沙司他
图片尺寸300x300![结构式:化学名称:(s)-n-戊酰基-n-{[2-(1h-四氮唑-5-基)[1,1-联苯]](https://i.ecywang.com/upload/1/img1.baidu.com/it/u=4217447562,2695905023&fm=253&fmt=auto&app=138&f=JPEG?w=702&h=500)
结构式:化学名称:(s)-n-戊酰基-n-{[2-(1h-四氮唑-5-基)[1,1-联苯]
图片尺寸1600x1139
适于工业化生产罗沙司他中间体的方法与流程
图片尺寸563x419