美术艺考通过率

23届美术生湖南近3年美术类考情数据汇总
图片尺寸1080x751
浅析近五年美术生数据,及预测未来几年艺考人数
图片尺寸1080x2208
美术生必读:中国美院校考方案发布【复试人数不超过招生计划的8倍】
图片尺寸1004x1820
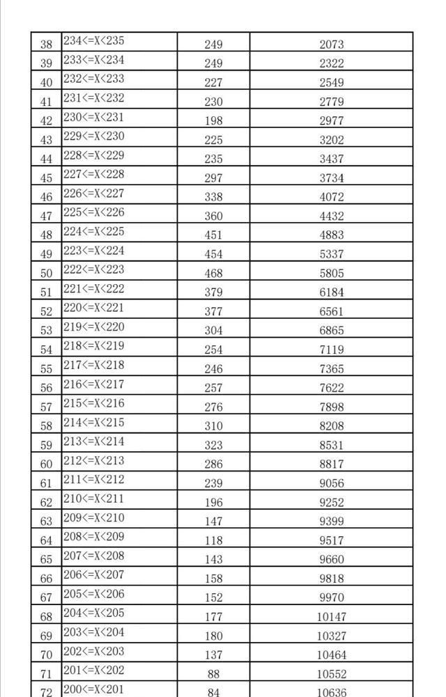
河南艺术联考成绩一分一段表,你考得怎样?
图片尺寸851x576
广州新锐精品画室_零二七艺考
图片尺寸1052x613
2023山东艺术类统考各专业过关率.温馨提示:1,专业过线不 - 抖音
图片尺寸1080x757
看达人学子斩获美术联考优异成绩!
图片尺寸640x1265
2022山东艺术类本科录取情况分析
图片尺寸1080x661
2018年贵州高考艺术类艺考分数线,贵州艺术生统考成绩汇总
图片尺寸926x798
了各省美术联考的总分及分数线,看来真的有必要给大家出点艺考科普贴
图片尺寸968x491
山东美术艺考网
图片尺寸949x635
河南省往年美术统考分段表:专业课达线率本科b段85%
图片尺寸640x503
写美篇田嘉禾同学在河北省美术联考中取得了277.5分的高分!
图片尺寸506x656
2020年河北专接本艺术类录取率是多少
图片尺寸660x830
2020/2021年陕西艺术类统考(联考)通过率/专业课本科分数线-博恩艺考
图片尺寸709x649
与普通高考生相比,艺考生的优势在哪里 | 时间: 2023年01月15日
图片尺寸787x1717
2021云南美术联考本科分数线200分过线率93录取率仅一半不到
图片尺寸640x1001
西安清美画室发布了647张合格证,西安南山艺考画室发布了475张合格证
图片尺寸990x2818
2017-2019年河南省艺术类统考报考及过线人数统计_河南艺考网_零二七
图片尺寸800x1130
杭州画室美院录取率
图片尺寸535x401