聚脲分子式

聚脲
图片尺寸510x245
强大的高分子化合物聚脲 - 知乎
图片尺寸477x295
天冬聚脲树脂美缝和环氧树脂美缝的优缺点,有什么区别
图片尺寸370x183
聚合物的分子结构不仅与聚合物材料的机械性能,热稳定性息息相关
图片尺寸4016x1796
聚脲类材料的优劣
图片尺寸580x143
分子结构:inchi:inchi=1/c10h8n2o2.
图片尺寸300x300
天冬聚脲树脂合成新方法与流程
图片尺寸1000x297
聚天冬氨酸酯聚脲的性能结构特点改性及其应用
图片尺寸436x271
沪家先锋使用聚脲美缝剂做美缝有哪些好处
图片尺寸640x358
cn1218980c_乳胶漆用聚脲聚氨酯缔合增稠剂失效
图片尺寸1417x862
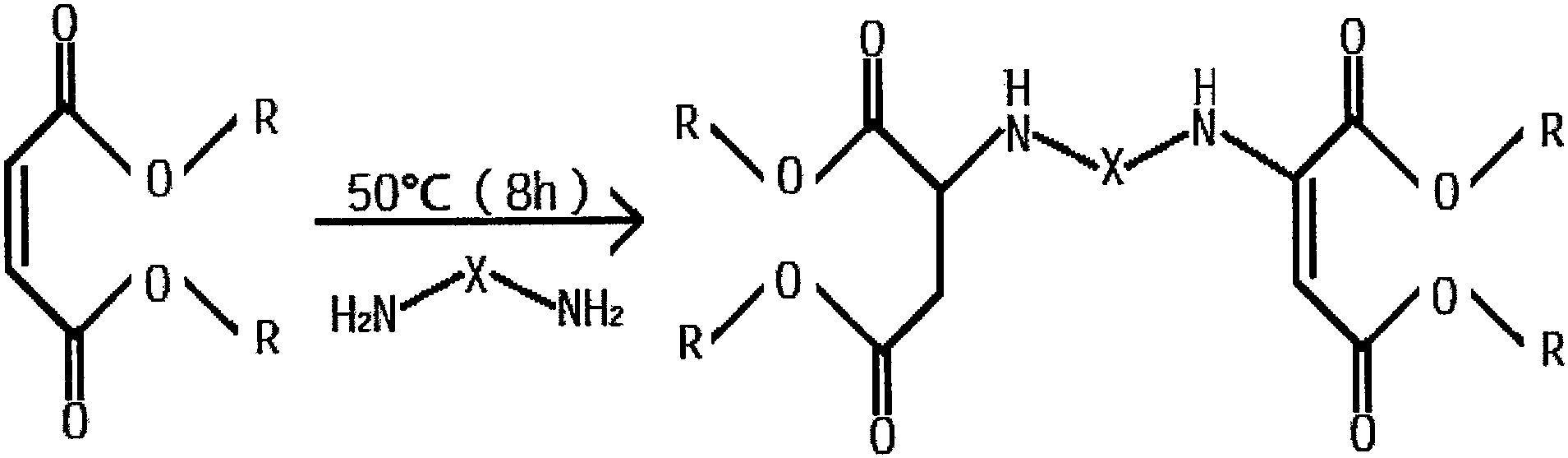
其反应活性与物理性能,会随着x和r的变化而变化,聚脲分子结构图 环氧
图片尺寸640x295
广州防水(环保材料:天冬聚脲)ppt
图片尺寸1080x810
25037-45-0
图片尺寸400x400
cn108164697a_天冬聚脲树脂合成新方法在审
图片尺寸1909x557
pu胶是什么东西啊?
图片尺寸605x375
与双(异氰酸根合甲基)苯的聚合物;三元混合组合聚醚;聚氨酯;聚脲烷
图片尺寸605x375
强大的高分子化合物聚脲 - 知乎
图片尺寸664x502![丙酸 >列表1[填空题] 聚芳酯(par)是分子主链上带有苯环和酯基的特种](https://i.ecywang.com/upload/1/img2.baidu.com/it/u=1921725951,3843145738&fm=253&fmt=auto&app=138&f=JPEG?w=640&h=322)
丙酸 >列表1[填空题] 聚芳酯(par)是分子主链上带有苯环和酯基的特种
图片尺寸640x322
聚脲的合成与应用
图片尺寸1787x459
pu聚氨酯
图片尺寸383x211