聚醚结构

71060-57-6结构式
图片尺寸484x300
ppo结构式
图片尺寸488x339
determination of oh group content in polyphenylene oxide
图片尺寸700x475
第九章 第1讲 有机物的结构特点和分类ppt
图片尺寸1080x810
我叫聚醚砜我们有三兄弟pespsu以及ppsu这是我们的简介
图片尺寸894x980
聚醚砜分子结构式为:此前,聚醚砜(英文名称:polyether sulfone)的化学
图片尺寸554x194
烷基酚聚氧乙烯醚的基本介绍
图片尺寸2260x927
ppo结构式 聚苯醚,聚2,6—二甲基—1,4—苯醚,简称ppo(polyphenylene
图片尺寸400x330
ppg-66-甘油聚醚-12结构式
图片尺寸605x375
聚醚胺|poly(propylene glycol) bis(2-aminopropyl ether)|9046-10-0
图片尺寸544x208
氯化聚醚
图片尺寸432x177
基于超支化聚醚的纳米级超声造影剂
图片尺寸3150x984
聚醚胺结构式
图片尺寸605x375
报告我是特种工程塑料聚醚砜pes下面是我的自我介绍
图片尺寸321x163
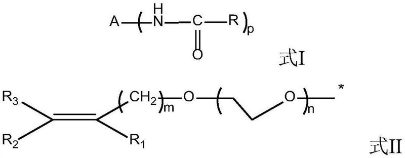
所述聚醚单体具有如下式i所示的结构;r相同或者不同,彼此独立地选自选
图片尺寸800x312
一种基于epeg聚醚大单体结构可控的聚羧酸减水剂及其制备方法
图片尺寸289x498
全氟聚醚
图片尺寸600x600
brij? o10聚氧乙烯(10)油醚
图片尺寸800x800
聚砜
图片尺寸800x183
c10-16-脂肪醇聚氧乙烯聚氧丙烯醚结构式图片|69227-22-1结构式图片
图片尺寸605x375