肉桂酸衍生物

肉桂酸衍生物 | tokyo chemical industry co., ltd.
图片尺寸300x300
一种肉桂酸衍生物及其制备方法和用途与流程
图片尺寸870x350
天津北辰优质肉桂酸总代直销3苯基2丙烯酸
图片尺寸563x750
345三羟基肉桂酸
图片尺寸600x600
肉桂酸
图片尺寸1328x1770
4-羟基肉桂酸(液晶级)
图片尺寸783x1167
肉桂酸
图片尺寸1000x1000
一种肉桂酸酯类衍生物及其制备方法
图片尺寸531x617
4-氰基肉桂酸
图片尺寸2155x1552
4-甲氧基肉桂酸乙酯
图片尺寸1084x456
肉桂酸的合成与应用
图片尺寸1449x2126
肉桂酸甲酯
图片尺寸300x300
肉桂酸衍生物的吸收促进剂的制作方法
图片尺寸611x276
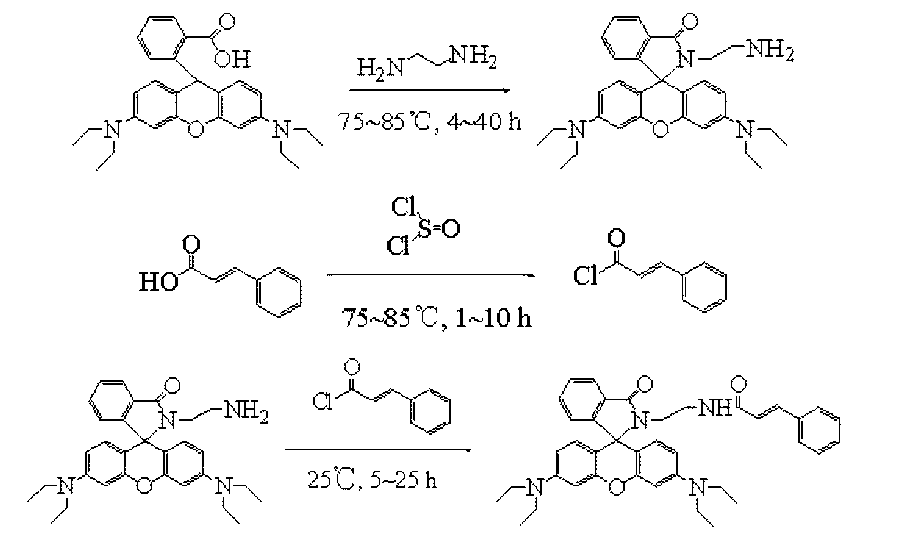
基于罗丹明b乙二胺肉桂酸衍生物的高选择性hg
图片尺寸904x542
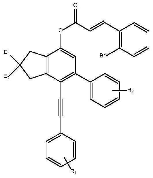
一种白杨素肉桂酸酯或其衍生物及其制备方法与流程
图片尺寸1000x382
肉桂酸钾75% 99% 肉桂酸 食品添加剂
图片尺寸1280x1280
肉桂提取物10:1 肉桂酸 桂皮提取物 肉桂油 肉桂粉 肉桂原粉
图片尺寸800x800
白杨素肉桂酸酯及其衍生物的合成
图片尺寸738x601
供应优质食品级肉桂酸钾生产厂家
图片尺寸800x800
倍半萜内酯—肉桂酸衍生物及其盐,药物组合物及其用途的制作方法
图片尺寸1000x723