肽链数怎么算

蛋白质中含有n,o原子数的计算 h h h h h nh2 —c —c—n— c— c —n
图片尺寸1080x810
某蛋白质由m条肽链,n个氨基酸组成.
图片尺寸1080x810
肽链数怎么看图解
图片尺寸500x290
肽链数怎么看图解
图片尺寸500x284
m条肽链: 肽键数=失水数=氨基酸总数-m
图片尺寸1080x810
并请教一下,怎样从图上看有多少种氨基酸,肽链和肽键数.
图片尺寸592x1052
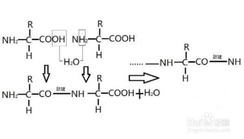
怎么看肽链数?
图片尺寸816x611
h原子数=各氨基酸中h的总数-2×脱水数
图片尺寸1080x810
logo 一, 肽键数,脱水数的计算 链状肽 : 肽键数=氨基酸数-肽链数 = n
图片尺寸1080x810
展开全部 是对的,因为一个肽链上的,不算r基上的,剩下的就是一个肽
图片尺寸747x1328
2,氨基酸数目,肽键,肽链,脱水数的关系;反应名称? 3,多肽链中至少含
图片尺寸1080x810
通式r-c2h4o2n模型1 h2o 模型2模型3脱水数=氨基酸数-肽链数m条链mn
图片尺寸720x540
肽键数=失水数=氨基酸数-肽链数
图片尺寸1080x876
总结:每条肽链所含的-nh2数=首端1个 r基中的 每条肽链所含的-cooh数=
图片尺寸1080x810
蛋白质分子中至少含有的游离的氨基和 有几条肽链就至少有几个
图片尺寸1080x810
①失去水分子数=肽键数=氨基酸数—肽链数(对于环肽来说,肽键数=
图片尺寸1080x1439
肽键数,氨基酸数,肽链数,羧基数,氨基数的关系,为什么氨基酸数-1=
图片尺寸598x280
氨基酸脱水缩合形成多肽过程中的有关计算方法 (1)肽键数=脱去水分子
图片尺寸1080x810
题目详情
图片尺寸344x169
肽链是什么?
图片尺寸400x600