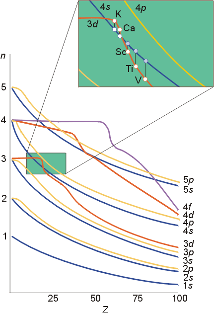
能级交错现象

电子能层可以继续细分成能级和轨道,而电子排布最重要的是能级交错的
图片尺寸648x541
能级交错
图片尺寸431x630
从哪个周期开始能级交错,有应该怎么记主族排布式? - 知乎
图片尺寸2560x1920
3d能级电子能量大于4s能级电子,书上说电子离核越远,能量越高,该如何
图片尺寸1260x696
能级交错
图片尺寸1080x810
2016高考化学一轮复习 第六章 第16讲 化学反应与能量课时作业答案
图片尺寸1043x786
is global warming causing extreme weather via jet stream waves?
图片尺寸460x276
ens enp end enf "能级分裂" n 相同的能级的能量随 l
图片尺寸1080x810
等量异种电荷的连线上,连线中点处场强最小,中垂线
图片尺寸374x220
《nature commun》:合金的层错能研究取得新进展
图片尺寸640x503
(必修1,鲁教版)《第二单元 第二节大气圈与天气
图片尺寸1080x810
高考化学选修3:物质结构与性质知识汇总!(上)
图片尺寸1080x1000
同时d轨电子具有能级交错的现象.
图片尺寸660x403
能级交错
图片尺寸300x224
1:多电子原子的能级电子不仅受到核的吸引,电子与电子之间存在相互的
图片尺寸1361x810
能级交错记忆图
图片尺寸687x620
3 能量的转化和守恒 知识点整理 安馨02 2023-09-07 16:09山东中
图片尺寸955x1280
有个能级交错原理你知道么? 再答
图片尺寸600x800
天文学历史上前所未有的错误?
图片尺寸483x357
能级交错
图片尺寸341x268