能级分布图

s能级
图片尺寸600x375
5月20日亲子学习情感日记——提高心智能级,让生活快乐
图片尺寸1074x1592
多电子原子轨道能级ppt
图片尺寸1080x810
电子排布能级图
图片尺寸920x1302
img
图片尺寸1235x653
选修3第一章原子结构与性质归纳与整理
图片尺寸960x540
图 3 dy 3 能级图
图片尺寸700x432
史上最全半导体能带分布图1
图片尺寸920x1302
原子能级.jpg
图片尺寸401x300
稀土离子能级图
图片尺寸1063x1377
做教育的,做健康的,理解这个事半功倍———人类意识能级分布图
图片尺寸980x890
雅布隆斯基分子能级图
图片尺寸1080x810
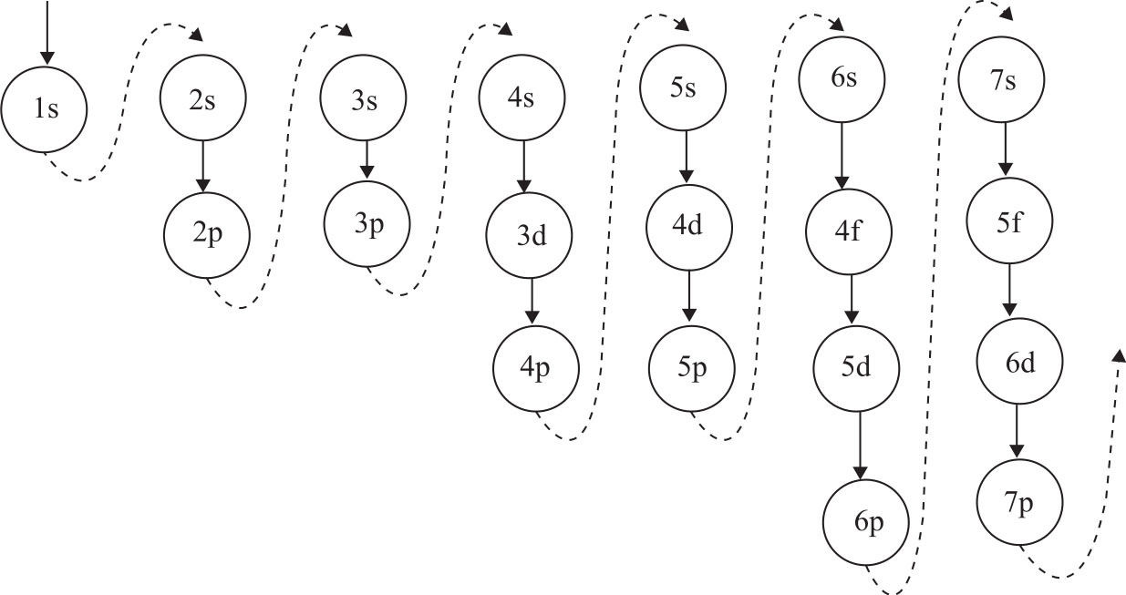
1s2s2p3s能级排布图记忆规律
图片尺寸640x427
3d能级电子能量大于4s能级电子,书上说电子离核越远,能量越高,该如何
图片尺寸720x398
各能层所包含的能级类型及各 2.
图片尺寸1080x810
高三物理:莫要忽视"能级"的复习
图片尺寸640x315
为了更形象地描述氢原子能级和氢原子轨道的关系,作出如图所示的能级
图片尺寸1940x1950
1s---2s---2p---3s---3p---4s---3d--4p---5s---4d---存在着能级交错
图片尺寸1080x810
图 铥离子的能级分布
图片尺寸300x365
专题二原子结构和元素性质复习答案ppt
图片尺寸1080x810