腙的结构式图片

芘的结构什么样
图片尺寸465x192
甲醛腙结构式
图片尺寸605x375
对甲苯磺酰丙酮腙结构式图片
图片尺寸605x375
⑴的结构简式是 ,名称是 ;⑵⑵的反应类型是 ;③的反应类型是 ; ⑶
图片尺寸499x273
甲醛二甲基腙结构式最后更新:2022-04-10 22:41:38最大波长(λmax)242
图片尺寸300x300
现货 双硫腙 铅试剂 化学试剂分析纯ar5克 瓶装 60-10-6
图片尺寸1920x1920
双环己酮草酰二腙
图片尺寸1204x445
364 分子结构: 危险标志:- 风险术语
图片尺寸325x255
二丙酮腙结构式_627-70-3结构式
图片尺寸400x400
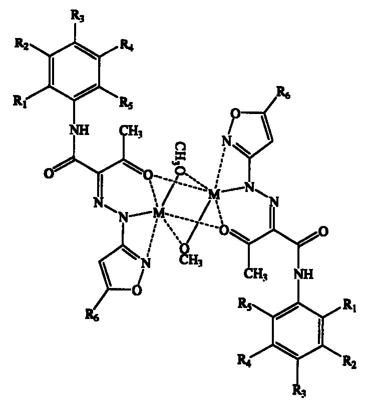
桥连双核金属腙类配合物及其合成方法;该配合物的分子结构通式如下式
图片尺寸743x810
尼海屈腙
图片尺寸300x300
1-丙基酰苯甲苯磺酰腙结构式
图片尺寸378x147
103-02-6 丙酮苯腙 cas号103-02-6分子式,结构式,msds,熔点,沸点
图片尺寸300x300
二苯卡巴腙结构式
图片尺寸250x250
二茂铁乙酸
图片尺寸484x300
二苯基卡巴腙结构式
图片尺寸386x227
求助:有关醛和肼反应生成腙的问题 - 药学 - 药物化学 - 小木虫论坛
图片尺寸800x394
丙酮醛 1-苯基腙结构式_5391-74-2结构式
图片尺寸300x300
苯甲醛二甲基腙
图片尺寸667x400
乙酰苯腙的化学式
图片尺寸3120x4160