花色苷分子量

典型的花色苷分子结构
图片尺寸388x404
( . )
图片尺寸700x1245
renin inhibitors containing alpha-heteroatom amino acids
图片尺寸1786x1690
use of benzimidazoles in the treatment of epithelial disorders
图片尺寸1972x2807
fungicides based on nitrogen-containing heterocycles
图片尺寸1962x2855
hydantoin derivatives
图片尺寸1806x2069
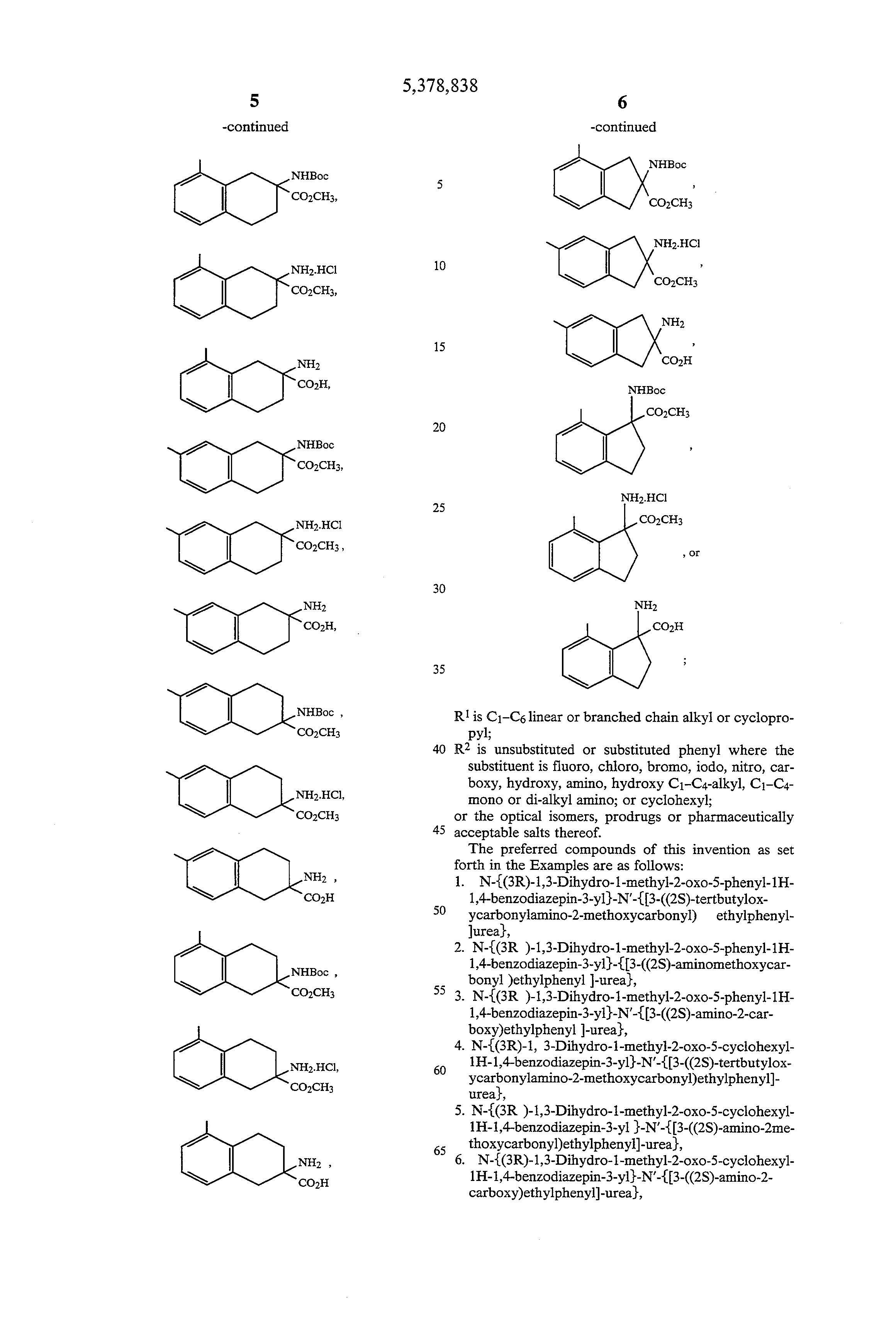
benzodiazepine cholecystokinin antagonists
图片尺寸2320x3408
这些食品中的花色苷的种类及解析方法你知道吗?
图片尺寸554x275
蓝莓果实花色素苷生物合成及其调控途径
图片尺寸946x546
天然花色苷类色素的生理功能及应用前景
图片尺寸627x411
mikrobizide makrozyklische laktonderivate
图片尺寸1771x2810
微生物代谢工程在花色苷生产过程中的应用现状和前景
图片尺寸554x309
thienopyrimidine derivatives
图片尺寸1824x2773
到目前为止,很少有研究黑米中个别的花色苷含量,就我们所知,加利福尼
图片尺寸644x420
食物中重要的有6种,自然状态的花青素都以糖苷形式存在,称为花色苷
图片尺寸949x362
cycloalkyl, lactam, lactone and related compounds
图片尺寸2560x3300
purified enzyme mixture capable of effecting dehydra
图片尺寸2105x2424
【国家自然科学基金】_细胞外_基金支持热词逐年推荐
图片尺寸676x1092
花色苷研究进展
图片尺寸1517x2144
raw cacao sprouted spread: hemp pumpkin fla
图片尺寸662x1475