芳基结构式

芳香烃的分类及苯的结构 (1)芳香烃的分类 单环芳烃: 如 芳香烃: 多环
图片尺寸1080x810
> 查看版本 结构 苯分子的结构特点: 1,6个c都是sp2杂化 
图片尺寸293x300
c10h14单取代芳香烃可能的结构有几种?
图片尺寸507x184
专利cn101863925b - 一种芳基钌(Ⅱ)配合物及其制
图片尺寸2139x1045
牙周康功效与作用说明书血液病消化道溃疡
图片尺寸306x353
38,39,40,41,42-芳香烃分子式香烃分子式芳环结构式芳烃分子式芳香汀
图片尺寸491x393
特种塑料peek一化学结构合成与热性质
图片尺寸341x391
其中, 所述芳基酮, 任选自具有式 (8) 结构式的化合物中的一种或几本
图片尺寸251x205![[0015][0014] 其中,a为稀土金属配合物,其结构式如式(ii )所示:[0013]](https://i.ecywang.com/upload/1/img0.baidu.com/it/u=540823096,2733287662&fm=253&fmt=auto&app=138&f=JPEG?w=529&h=443)
[0015][0014] 其中,a为稀土金属配合物,其结构式如式(ii )所示:[0013]
图片尺寸529x443![[0061] (ii)符合以下结构的化合物: [0061] (ii) a compound of the](https://i.ecywang.com/upload/1/img1.baidu.com/it/u=562832650,1938219918&fm=253&fmt=auto&app=138&f=JPG?w=652&h=305)
[0061] (ii)符合以下结构的化合物: [0061] (ii) a compound of the
图片尺寸652x305
专利cn101184726b - 2-芳基丙酸衍生物及包含它们的
图片尺寸593x474
cn1060460c_二芳基乙烷的制备失效
图片尺寸674x952
电荷输送性膜光电转换装置电子照相感光体处理盒和图像形成设备
图片尺寸1537x1075![[0024] (c) (ii)其中r2和r3-起构成具有式(iii)所示结构的二价基团](https://i.ecywang.com/upload/1/img2.baidu.com/it/u=3940822232,112213405&fm=253&fmt=auto&app=138&f=JPEG?w=702&h=288)
[0024] (c) (ii)其中r2和r3-起构成具有式(iii)所示结构的二价基团
图片尺寸702x288![angew:[b2h5]-结构分子中b-b,b-h和不同双键的反应选择性](https://i.ecywang.com/upload/1/img0.baidu.com/it/u=2569638694,1310099152&fm=253&fmt=auto&app=138&f=PNG?w=693&h=500)
angew:[b2h5]-结构分子中b-b,b-h和不同双键的反应选择性
图片尺寸737x532
物,有机电子器件及其应用,所述稠环芳基化合物,具有式(i)所示的结构
图片尺寸542x487
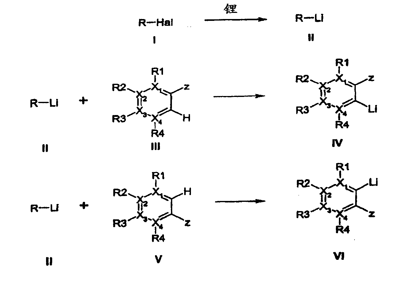
专利详情本发明涉及一种用于制备具有结构式(iv)和(vi)的芳基锂化合物
图片尺寸1303x916
具有快速皮肤穿透速度的带正电荷的水溶性的芳基和杂
图片尺寸858x1289
文档下载 所有分类 自然科学 化学 > 二芳基乙烯类
图片尺寸1552x723
元环有机化合物j的路线如下:已知:(1)a属于炔烃,其结构简式是
图片尺寸544x287