芳纶纤维的结构

芳纶纸是纸吗
图片尺寸848x774
干货| 芳纶纤维的简介,工艺及应用
图片尺寸782x543
芳纶纤维分为间位芳纶和对位芳纶(其典型代表是kelvar),间位芳纶主要
图片尺寸525x351
重磅丨近五年芳纶纤维相关的国家自然科学基金项目盘点
图片尺寸1080x650
芳纶功能纺织品的研究进展_曾翠霞
图片尺寸976x441
芳纶纤维ppt
图片尺寸1080x810
芳纶纤维是人工合成的芳香族聚酰胺纤维,由酰胺键互相连接芳香环(ar
图片尺寸623x351
芳纶纤维的结构共8页
图片尺寸920x1302
芳纶纤维的结构共8页
图片尺寸920x1302
清华大学:芳纶纳米纤维增强的强韧,抗疲劳的可3d打印水凝胶
图片尺寸1080x813
芳纶纤维 1.ppt
图片尺寸1152x864
区别于普通柔性聚合物分子链,对位芳纶纤维的主链结构主要由苯环对位
图片尺寸801x587
4.2 芳纶纤维的种类 10.2.1 芳纶纤维的结构 1.
图片尺寸1080x810
芳纶1313 (又称nomex纤维),属于间位芳香族聚酞胺纤维,分子结构如图2
图片尺寸640x287
波谱(光谱)分析
图片尺寸2059x1835
芳纶纤维ppt
图片尺寸1080x810
10-芳纶纤维-1ppt
图片尺寸1080x810
芳纶纤维分子构造以及纤维丝 海 纳 百 川 有 容 乃 大
图片尺寸1080x810
其次,从微观,原纤维和晶胞结构方面阐述了芳纶纤维的基本结构(图3),并
图片尺寸1080x670
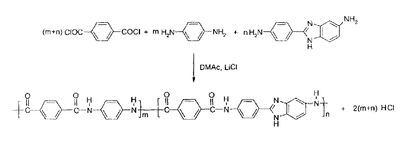
一种高性能杂环芳纶及其制备和应用
图片尺寸1383x488