芳纶结构式

纺材| 芳纶纤维
图片尺寸440x330
芳纶
图片尺寸800x401
芳纶功能纺织品的研究进展_曾翠霞
图片尺寸976x441
芳纶纤维ppt
图片尺寸1080x810
芳纶-国防军工上的高性能纤维材料!
图片尺寸592x267
第10章芳纶纤维
图片尺寸800x600
芳纶纸是纸吗
图片尺寸848x774
芳纶
图片尺寸623x351
芳纶的分类,结构,性能 芳纶 纤维 间位芳纶 全称聚间苯二甲酰间苯二胺
图片尺寸1080x675
重磅丨近五年芳纶纤维相关的国家自然科学基金项目盘点
图片尺寸1080x650
因其含有杂环结构,也称杂环芳纶.
图片尺寸592x240
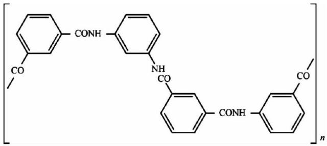
间位芳纶和对位芳纶化学结构式
图片尺寸504x281
芳纶纤维ppt
图片尺寸1080x810
芳纶1313 (又称nomex纤维),属于间位芳香族聚酞胺纤维,分子结构如图2
图片尺寸640x287
芳纶纤维 1.ppt
图片尺寸1152x864
芳纶1313简介
图片尺寸459x205
10-芳纶纤维-1ppt
图片尺寸1080x810
1 芳纶纤维的结构 1.
图片尺寸1080x810
芳纶-国防军工上的高性能纤维材料!
图片尺寸532x257
聚合物基复合材料 7芳纶纤维.ppt
图片尺寸1152x864