苯丙香豆素

中药化学笔记苯丙素类香豆素一
图片尺寸1080x1439
【中药化学】第五章 苯丙素类化合物 第一部分 香豆素
图片尺寸3951x2466
中药化学笔记#苯丙素类#香豆素(二)
图片尺寸960x1280
第七章香豆素类化合物ppt
图片尺寸800x600
香豆素
图片尺寸313x320
中药化学笔记#苯丙素类#香豆素(二)
图片尺寸960x1280
中药化学-第五章5.2苯丙素类化合物:香豆素类化合物
图片尺寸960x600
香豆素
图片尺寸800x800
精选二氢香豆素,量大从优,欢迎来询
图片尺寸2158x3840
香豆素
图片尺寸307x299
二氢香豆素 cas#119-84-6 含量99% 食用香料-阿里巴巴
图片尺寸800x800
4-羟基香豆素
图片尺寸800x600
双香豆素说明书
图片尺寸1200x1600
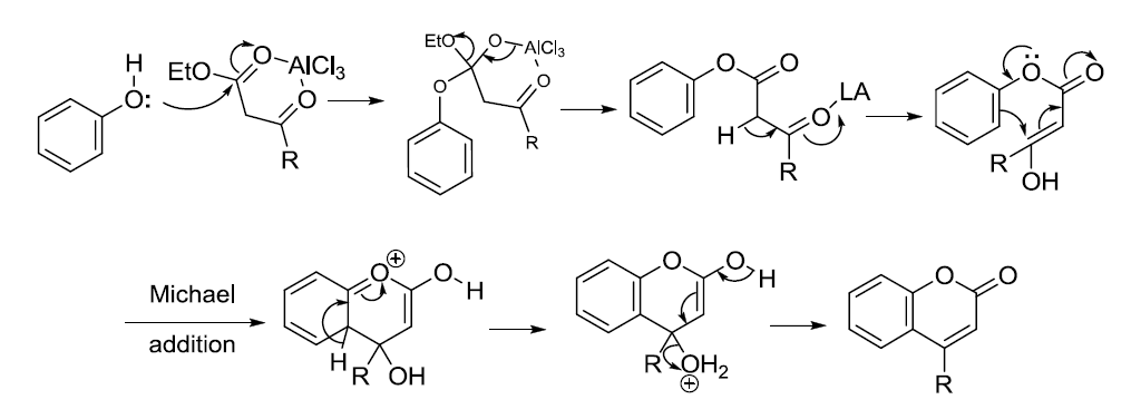
pechmann香豆素合成
图片尺寸1015x376
/p> p>狭义苯丙素类:简单苯丙素类,香豆素类和木脂素类.
图片尺寸720x1144
东华理工大学##朱海波##green chem.##cbg资讯
图片尺寸628x846
绿萝花的功效与作用
图片尺寸720x960
最新香豆素课件_第3页
图片尺寸1500x1125
香豆素的分类与结构ppt
图片尺寸1080x810
4-羟基苯丙香豆素
图片尺寸600x600