苯环鲍林式

有没有长的和凯库仑式一样的环烯烃? - 知乎
图片尺寸541x290
2.2《来自煤和石油的两种基本化工原料》课件(新人教版必修2)ppt
图片尺寸1080x810
苯环
图片尺寸221x154
"00后"博士生,一作发science!
图片尺寸711x781
166凯库勒式和鲍林式起初凯库勒式是主流,后来人们发现苯环实际不是
图片尺寸709x362
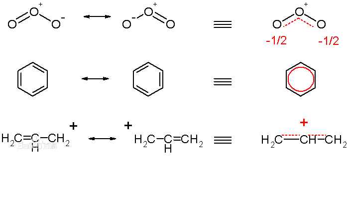
="gnzrirjbqo">共振论(resonance theory),是由美国化学家鲍林(linus
图片尺寸699x314
大家应该都知道苯环主要有如下图的两种写法即凯库勒式(左)与鲍林式
图片尺寸1875x2048
一,苯的组成和结构 1,分子式: 2,结构式: c 6h 6 h c h c h c c h c h
图片尺寸1080x810
苯环结构的发展历程及大派键的形成,凯库勒or鲍林
图片尺寸1503x1126
="gmwslfvs0k">共振论(resonance theory),是由美国化学家鲍林(linus
图片尺寸699x403
苯环自由印章得印牌可定制盖章教学小圆章凯库勒式鲍林式作业笔记
图片尺寸800x800
分子式:c6h6 2.
图片尺寸1080x810
鲍林式
图片尺寸1080x810
事实上,两度诺贝尔奖得主莱纳斯·卡尔·鲍林在上世纪就说过:"每一种
图片尺寸865x490
事实上,两度诺贝尔奖得主莱纳斯·卡尔·鲍林在上世纪就说过:"每一种
图片尺寸865x490
事实上,两度诺贝尔奖得主莱纳斯·卡尔·鲍林在上世纪就说过:"每一种
图片尺寸1024x569
事实上,两度诺贝尔奖得主莱纳斯·卡尔·鲍林在上世纪就说过:"每一种
图片尺寸3508x2480
事实上,两度诺贝尔奖得主莱纳斯·卡尔·鲍林在上世纪就说过:"每一种
图片尺寸1270x720
事实上,两度诺贝尔奖得主莱纳斯·卡尔·鲍林在上世纪就说过:"每一种
图片尺寸1024x576
常见含氧酸的性质及鲍林规则
图片尺寸594x230