茶多酚分子式

对于健康的肠胃来说,适当的茶多酚摄入不会产生刺激性.
图片尺寸842x595
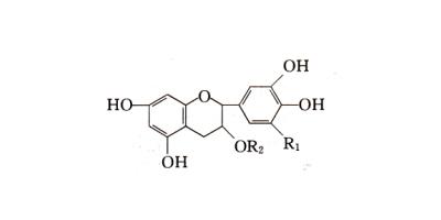
具有代表性的茶多酚结构
图片尺寸912x470
tea polyphenol 茶多酚 标准品
图片尺寸605x375
货号: sj00030028230 送摩贝积分 10 cas: 84650-60-2 分子式
图片尺寸267x246
茶多酚
图片尺寸250x250
茶多酚的化学结构式?
图片尺寸338x600
硅胶柱层析法提纯茶多酚的研究
图片尺寸2758x1227
茶多酚含有的主要化学物质
图片尺寸1002x537
cas号:84650-60-2分子式:c17h19n3o茶多酚绿茶中茶多酚含量较高,占其
图片尺寸400x200
20世纪50年代中国的中药的抑菌研究
图片尺寸505x227
绿茶提取物茶多酚99%/儿茶素75%-85%
图片尺寸469x259
茶多酚的分子结构
图片尺寸620x574
fshw | 茶多酚化学的最新进展和展望
图片尺寸660x244
茶多酚是茶的精华
图片尺寸750x722
抗氧化,抗肿瘤40~95% egcg hplc检测主要规格:50%~98% 茶多酚 uv 检测
图片尺寸300x300
咖啡因的分子式是这样的咖啡因提升工作原理同理也包括能量饮料茶多酚
图片尺寸429x244![图片 茶多酚,tea polyphenol [green tea extract];≥98.0%](https://i.ecywang.com/upload/1/img0.baidu.com/it/u=557829018,2167082449&fm=253&fmt=auto&app=138&f=PNG?w=415&h=388)
图片 茶多酚,tea polyphenol [green tea extract];≥98.0%
图片尺寸415x388
喝茶vs喝咖啡哪个更容易让你睡不着
图片尺寸542x598
"儿茶素 catechin 154-23-4"询价
图片尺寸431x288
茶叶中明明有很多维生素和氨基酸,还有茶多酚这种抗氧化,降血脂,降
图片尺寸500x469