荧光标记技术

免疫荧光技术:如何选择合适的荧光染料来标记蛋白质
图片尺寸982x628
technique )又称荧光抗体技术,是标记免疫技术中发展最早的一种
图片尺寸640x640
2 氟喹诺酮类药物残留荧光检测法
图片尺寸405x281
荧光标记技术是一种基于荧光物理现象的高灵敏度检测方法,具有高选择
图片尺寸640x640
于生物学和医学领域的技术,其通过使用荧光物质对目标分子进行标记,以
图片尺寸640x640
荧光标记原理荧光基团的抗体标记物介绍
图片尺寸826x248
荧光标记技术1.jpg
图片尺寸488x412
美丽生物之荧光标记~gfp yfp rfp!
图片尺寸1024x1364
>>技术简介细胞荧光标记是利用荧光蛋白或荧光素酶报告基因作为
图片尺寸1280x856
图1:通过荧光显微镜观察荧光标记的细胞.
图片尺寸1654x1104
"荧光标记技术:荧光修饰多肽的奥秘"
图片尺寸1000x276
bodipy, cy3, cy5,tritc,tmr等荧光标记试剂分类:在荧光标记的技术中
图片尺寸640x640
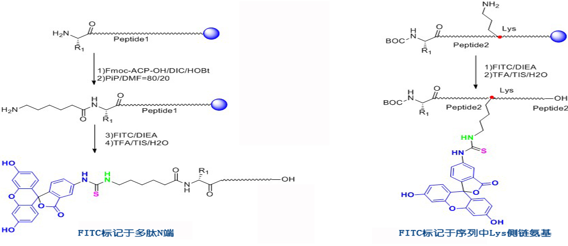
"荧光标记技术:荧光修饰多肽的奥秘"
图片尺寸1134x491
标记是一种广泛应用于生物科学领域的技术,它能够通过荧光信号来标记
图片尺寸586x569
2 氟喹诺酮类药物残留荧光检测法
图片尺寸399x312
科普荧光蛋白标记技术有那些?
图片尺寸1080x334
"荧光标记技术:荧光修饰多肽的奥秘"
图片尺寸777x640
"荧光标记技术:荧光修饰多肽的奥秘"
图片尺寸785x483
免疫荧光(immunofluorescence.i - 抖音
图片尺寸1080x1412
星戈瑞fitc/fam/rhodamine标记dex荧光葡聚糖
图片尺寸640x640