葡萄糖结构式

饮食中的有机化合物(第2课时)糖类和蛋白质ppt (3)葡萄糖的结构 h h c
图片尺寸1080x810
葡萄糖
图片尺寸750x400
1 葡萄糖的结构葡萄糖是构成淀粉的基本结构单元,因此葡萄糖的化学
图片尺寸1277x867
葡萄糖化学式怎么写
图片尺寸461x300
葡萄糖
图片尺寸640x493
p>葡萄糖(glucose), a target="_blank" href="/item/有机化合物
图片尺寸992x541
请写出下列物质的化学用语:①葡萄糖的结构简式: .
图片尺寸450x226
高三化学复习用 二,葡萄糖的组成与结构: 1
图片尺寸1080x810
葡萄糖的结构式
图片尺寸600x374
展开全部 葡萄糖的化学分子式 向左转 向右转
图片尺寸727x496
葡萄糖
图片尺寸666x555
葡萄糖
图片尺寸1080x810
α-d-葡萄糖和β-d-葡萄糖的区别是什么?
图片尺寸600x296
d葡萄糖
图片尺寸635x614
葡萄糖结构式_果糖结构式
图片尺寸1024x1024
葡萄糖有环状结构的吗?呋喃环形式的葡萄糖是什么,能解释以下吗?
图片尺寸419x472
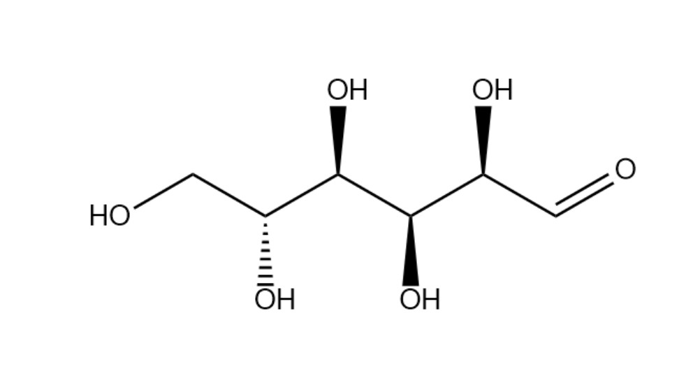
葡萄糖 (1)葡萄糖的结构 葡萄糖的分子式为 ,结构式: c6h12o6 ,结构简
图片尺寸1080x810
葡萄糖分子
图片尺寸1100x1100
葡萄糖的化学式
图片尺寸750x400
高一有机化学:葡萄糖的结构式怎么写?
图片尺寸2048x1536