裂项相消法

小升初必考——分数裂项相消
图片尺寸978x1280
数学知识点裂项相消法公式
图片尺寸562x453
裂项相消法——最全公式来啦!
图片尺寸905x1280
简便计算四裂项相消法
图片尺寸920x1302
高中数学数列裂项相消#高中生 #高考数学 #高中数学 - 抖音
图片尺寸1080x1438
裂项相消法求和附答案
图片尺寸920x1302
裂项相消法求和doc2页
图片尺寸792x1120
数列求和的裂项相消法讲解.docx 3页
图片尺寸792x1120
裂项相消这几个方法你会了吗直接裂项试试
图片尺寸640x884
裂项相消法求和附答案
图片尺寸920x1303
裂项相消法的八大类型
图片尺寸700x350
数列经典例题裂项相消法共7页
图片尺寸920x1302
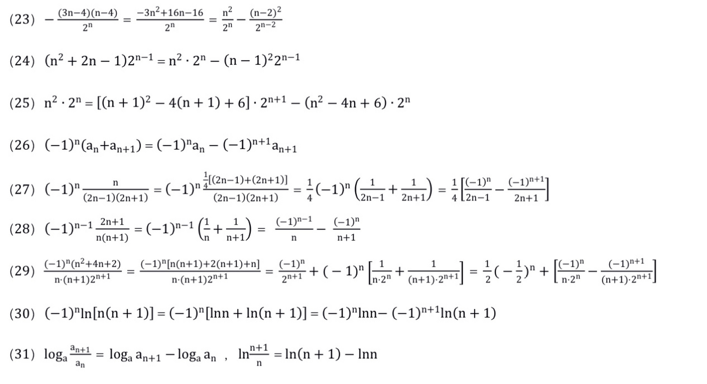
裂项相消最全合集 最近二轮复习又有很多同学问到裂项,还是把这个给
图片尺寸2355x1280
数列裂项相消法
图片尺寸613x729
数列求和——裂项相消法
图片尺寸960x1280
裂项相消法——最全公式来啦!
图片尺寸905x1280
不一样的裂项相消法
图片尺寸1508x1959
高一数学必修5数列经典例题裂项相消法
图片尺寸920x1302
裂项相消法求和附答案doc
图片尺寸860x1216
裂项相消
图片尺寸1080x969