读书笔记10篇 简单

爱的教育读书笔记10篇
图片尺寸1240x1753
《红星照耀中国》读书笔记 | 第十篇 03全灵同款文具和图书9599
图片尺寸935x1280
看完课外书老师要求写读书笔记,积累写作素材,加深阅读理解,摘 - 抖音
图片尺寸1440x1920
寒假 全国统一作业写10篇读书笔记,已写3篇,分享小伙伴共 - 抖音
图片尺寸1080x1440
读书笔记
图片尺寸1440x1920
《红星照耀中国9899》读书笔记(十)上 第十篇 再谈马 "红小鬼"
图片尺寸960x1280
文章的读书笔记大全 - 抖音
图片尺寸1440x1920
书香留痕 浸润心灵——双埠小学开展读书笔记展评活动
图片尺寸660x876
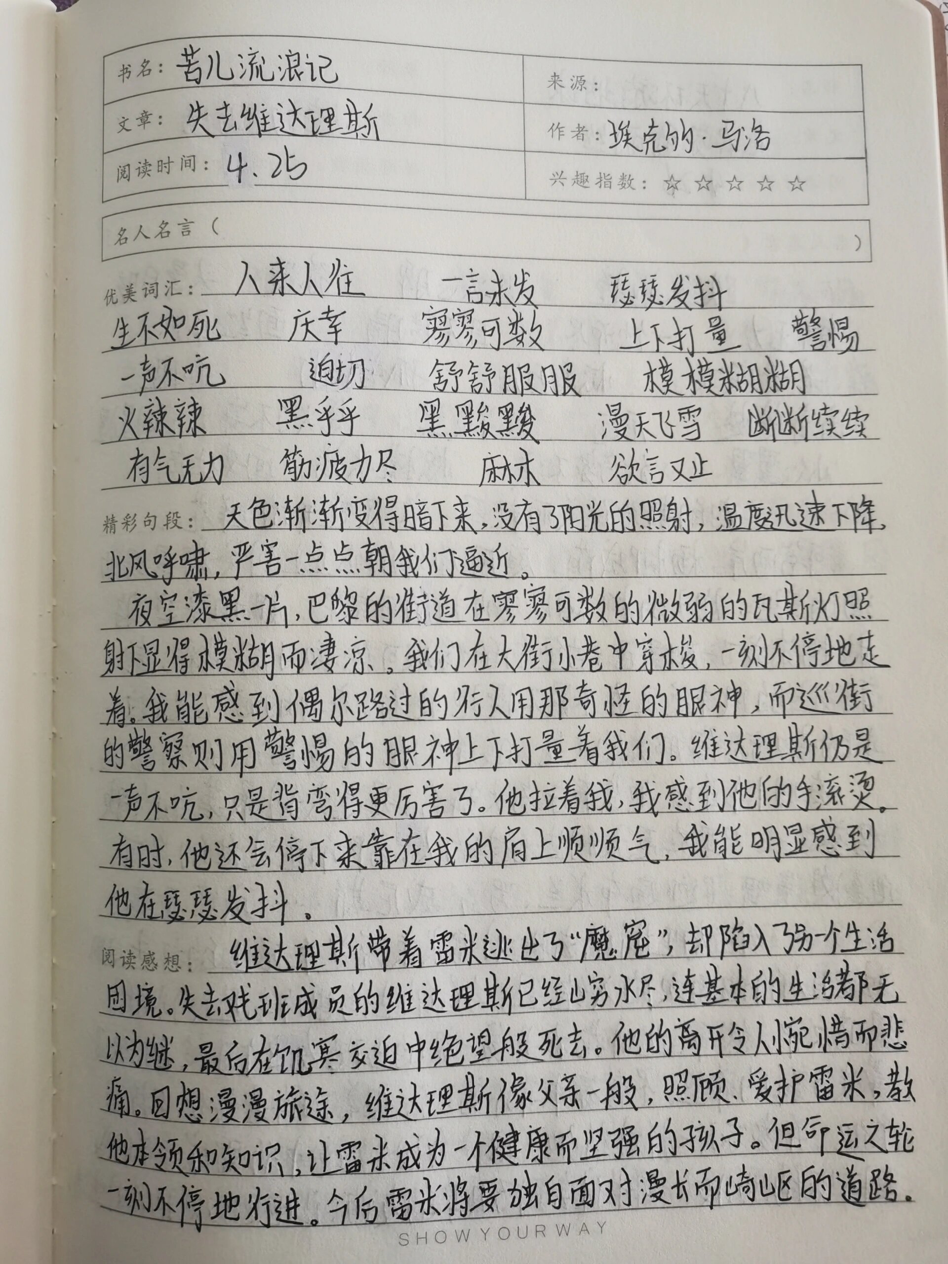
苦儿流浪记读书笔记第六章到第十章
图片尺寸1920x2560
峡谷求生读书笔记 - 抖音
图片尺寸1440x1920
鲁迅《呐喊》小说集读书笔记寒假
图片尺寸1920x2560
《红星照耀中国》第十章 读书笔记
图片尺寸1710x2560
5年级上册中国民间故事读书笔记10篇
图片尺寸960x1280
五年级摘抄笔记大全 - 抖音
图片尺寸1440x1920
《昆虫记》读书笔记第十章@爱心起航了的动态
图片尺寸1808x2464
读书笔记的正确摘抄方法,你学会了吗?适合书籍: - 抖音
图片尺寸1440x1920
《鲁滨逊漂流记》读书笔记第10章
图片尺寸1440x1920
最新哈利波特读书笔记10篇doc
图片尺寸920x1302
笑猫日记的三年级读书笔记10篇
图片尺寸920x1302
读书笔记范文,给孩子参考一下!
图片尺寸660x881