读后感450字下册

五年级下册西游记读后感450字0269♂15
图片尺寸1891x2559
五年级下册西游记读后感450字0269♂15
图片尺寸1920x2434
读后感作文450字
图片尺寸920x1302
红楼梦读后感450字doc2页
图片尺寸1640x2124
童年读后感450字
图片尺寸920x1302
爱的教育的读后感450字
图片尺寸920x1303
《开学第一课》观后感450字
图片尺寸1280x1706
西游记读感450字 读后感
图片尺寸960x1280
第七条猎狗读后感450字精选6篇
图片尺寸1991x2818
载人航天读后感450字
图片尺寸920x1303
简爱优秀读后感450字_第1页
图片尺寸2209x3123
四年级作文读后感城南旧事读后感450字
图片尺寸920x1302
小兵张嘎观后感450字
图片尺寸920x1302
窃读记读后感450字
图片尺寸920x1303
格林童话读后感450字(一)_第1页
图片尺寸920x1301
《西游记》读后感 大约450字
图片尺寸1920x2560
读后感作文450字以上. 后面那里涂黑是因为那里有家长签字,字丑勿喷
图片尺寸960x1280
小王子读后感450字
图片尺寸920x1301
三国演义读后感450字五年级
图片尺寸920x1302
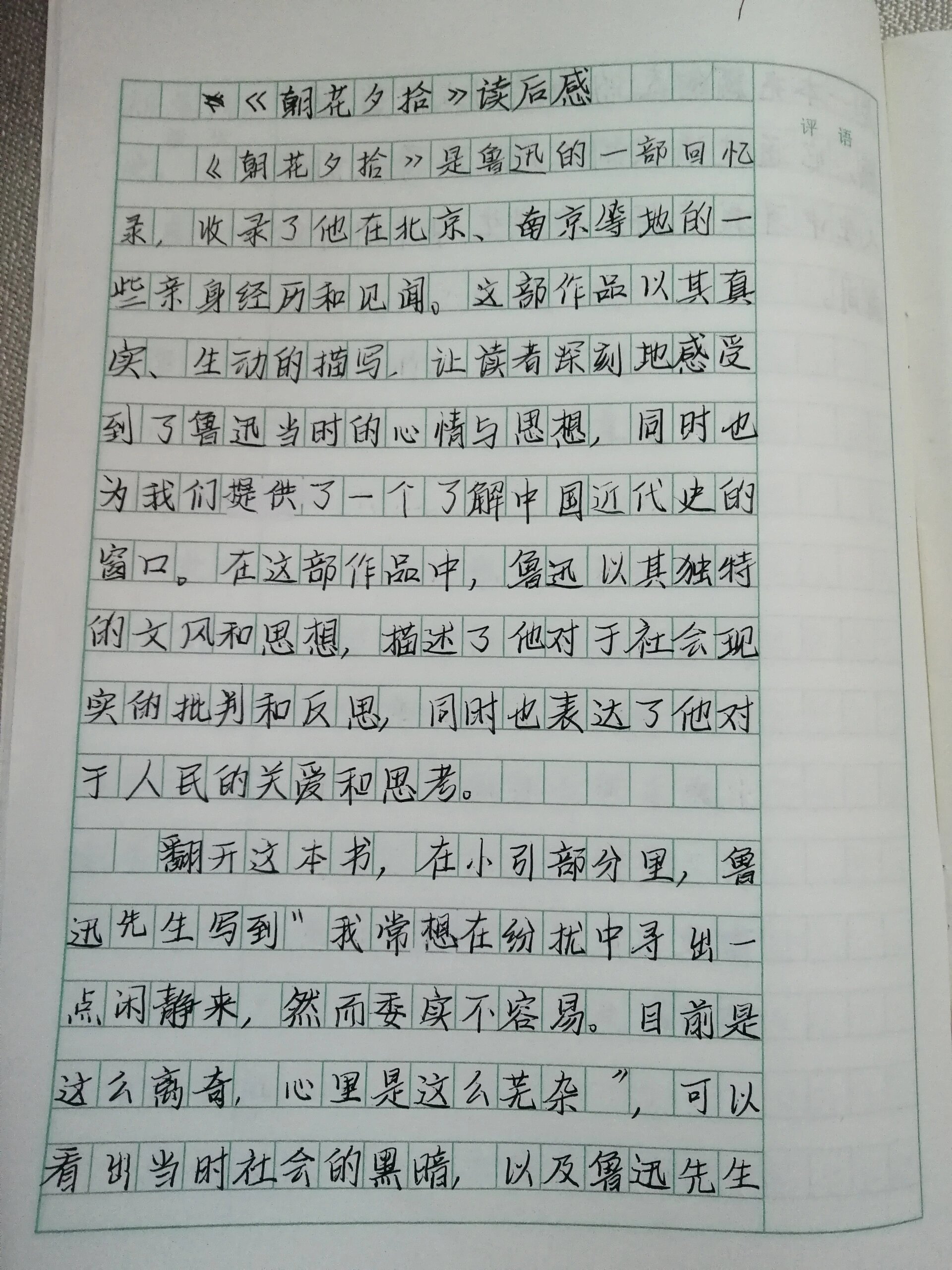
《朝花夕拾》读后感
图片尺寸1920x2560