谢晋元八佰回忆录

抗战英雄谢晋元送别怀孕妻子他率八百壮士血战四行仓库
图片尺寸763x1128
原创民族英雄谢晋元36岁被叛徒出卖留下的四个子女结局如何
图片尺寸640x862
1937年,他带着400军人,用一场战争"欺骗"了全世界_谢晋元_闸北_中国
图片尺寸1200x783
血战四行,谢晋元和他的兄弟赢得八佰之名,却成为被抛弃的孤儿
图片尺寸690x411
浩气长存的谢晋元团长葬礼彩照 民族英雄入殓前最后遗容曝光
图片尺寸835x600
红途探馆 | 战士全员"同写遗书",大多数名字却无人知晓……_谢晋元
图片尺寸1080x1441
1941年谢晋元牺牲,妻子接过"八百壮士"重担:谁让我是团长夫人
图片尺寸640x816
四行仓库保卫战是淞沪会战最后一场有规模的战斗,为了迷惑日军,谢晋元
图片尺寸600x624
八佰勇敢的中国敢死队真实的谢晋元
图片尺寸416x506
谢晋元烈士为国当不能顾家丨念念不忘
图片尺寸640x960
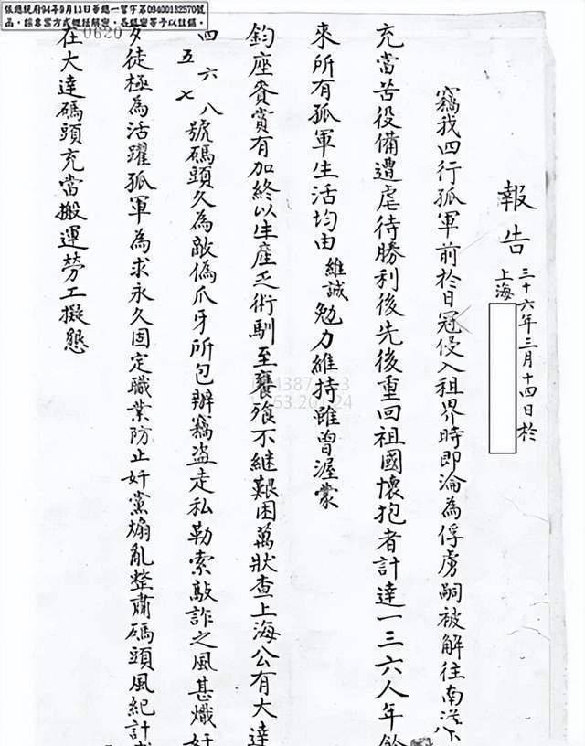
"八百壮士"光明而来,亦当正大而去_孤军_租界_谢晋元
图片尺寸839x1111
还原真实的《八佰》:英勇杀敌八百兵,谢晋元率将士坚守四行仓库
图片尺寸945x471
谢晋元烈士后代赴龙华烈士纪念馆参观座谈
图片尺寸1080x1591
陈老总下令:蒋氏不管,我们管|谢晋元|日寇|孤军营_网易订阅
图片尺寸585x932
红途探馆 | 战士全员"同写遗书",大多数名字却无人知晓……_谢晋元
图片尺寸1080x830
八百壮士在重围中执戈为国
图片尺寸266x381
纪念谢晋元将军和八百壮士
图片尺寸150x113
"八百壮士"结局如何?谢晋元让人扼腕,其余人受尽折磨幸存无几
图片尺寸570x620
八佰勇敢的中国敢死队真实的谢晋元
图片尺寸640x279
"八百壮士"光明而来,亦当正大而去_孤军_租界_谢晋元
图片尺寸957x825