贝塞尔函数

geogebra绘制第一类贝塞尔函数的形态
图片尺寸1066x600
贝塞尔函数表
图片尺寸920x1300
图片尺寸1916x1078
bessel方程求解详解ppt
图片尺寸1080x810
第二类贝塞尔函数
图片尺寸400x320
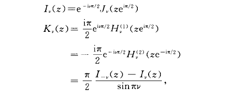
变形贝塞尔函数
图片尺寸471x188
第一类贝塞尔函数
图片尺寸400x320
球贝塞尔函数
图片尺寸741x1152
贝塞尔函数
图片尺寸600x480
怎样通俗易懂地解释贝塞尔函数?第一类,第二类?
图片尺寸1976x2980
贝塞尔函数,奚定本,高等教育出版社
图片尺寸876x1284
0 柱函数 贝塞尔函数j 级数解 诺依曼函数n 🌱贝塞尔函数生成
图片尺寸3456x4608
chapt02贝塞尔函数
图片尺寸640x441
贝塞尔函数
图片尺寸530x395
贝塞尔函数详细介绍
图片尺寸1080x810
浅谈贝塞尔函数一贝塞尔函数的定义及相关公式
图片尺寸600x803
数学物理方程丨贝塞尔函数
图片尺寸835x613
特殊函数专场之贝塞尔函数
图片尺寸1021x768
[浅谈贝塞尔函数
图片尺寸1936x2592
0 柱函数 贝塞尔函数j 级数解 诺依曼函数n 🌱贝塞尔函数生成
图片尺寸3456x4608