质谱仪公式

质谱仪回旋加速器
图片尺寸1080x810
比荷高中物理质谱仪公式推导过程在不同条件下 磁感应强度公式测定
图片尺寸577x505
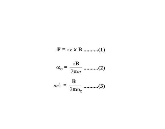
傅里叶变换质谱分析
图片尺寸562x440
icp-ms_质谱_仪器论坛
图片尺寸700x584
水样中丁基黄原酸的质量浓度按公式p=p1xf计算.
图片尺寸797x588
质谱仪器
图片尺寸1920x1280
7700 二手icp安捷伦电感耦合等离子体质谱仪
图片尺寸4608x3456
初中物理公式大全!快收藏转发分享!
图片尺寸640x559
质谱仪测蛋白质怎么根据荷质比判断是哪个氨基酸的呢
图片尺寸682x813
高中物理质谱仪
图片尺寸950x569
质谱基本原理
图片尺寸800x600
主题:【第六届原创】同位素稀释电感耦合等离子体质谱法测定复杂基质
图片尺寸612x451
所有分类 高等教育 理学 经典课件洛伦兹力应用ppt 二,质谱仪 1
图片尺寸1080x810
质谱仪回旋加速器.ppt 35页
图片尺寸1152x864
大连哲勤科技与大连医科大学签订横向课题
图片尺寸1000x901
lcms8030三重四极杆质谱仪
图片尺寸471x307
质谱仪的质量分析器磁式质量分析器的原理特点
图片尺寸800x374
4 质谱仪与回旋加速器课件
图片尺寸860x537
质谱仪的工作原理
图片尺寸650x396
基于cata和gc-ms-o的不同牧场牛奶感官特性及香气活
图片尺寸418x688