费米狄拉克统计

fermi-diracppt_word文档在线阅读与下载_免费文档
图片尺寸1080x810
狄拉克奖中的「费米-狄拉克统计」
图片尺寸640x273
从理论上设计了一种具有与石墨烯同数量级的费米速度的狄拉克feb2单层
图片尺寸1080x825
二师兄身价涨上天啦通货膨胀那些事儿之二测量篇
图片尺寸1600x1490
宏观数据cpi迪斯尼财报20220810
图片尺寸1080x1439
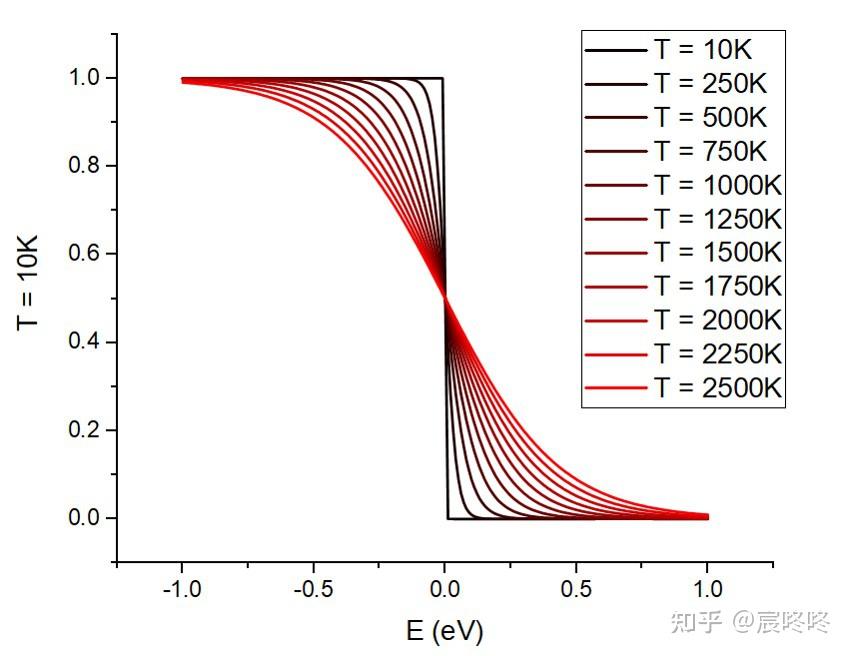
origin颜色渐变的线图费米狄拉克分布
图片尺寸852x656
费米能级ef:反映电子的填充水平,是电子统计规律的一个基本概念. 2).
图片尺寸849x381
据统计,2018年,美国的咖啡馆数量接近5.
图片尺寸3243x2300
defensivequantization
图片尺寸1882x992
人员流动限制与新冠病毒在中国的扩散
图片尺寸967x1257
suzhou statistical yearbook 2005
图片尺寸900x1367
fermi-dirac分布函数
图片尺寸372x450
通货膨胀跟失业有关系吗?汇率与通胀的关系
图片尺寸868x642
percentage of total global primary energy demand p
图片尺寸873x633
randomized assessment of rapid endovascular treatment
图片尺寸1219x1522
他给出的狄拉克方程可以描述费米子的物理行为,并且预测了反物质的
图片尺寸268x376
半导体
图片尺寸250x250
费米-狄拉克分布实验讲义
图片尺寸680x331
费米分布函数:统计物理中:(f _ { j} = frac { 1 } { e ^ { left
图片尺寸543x423
origin颜色渐变的线图费米狄拉克分布
图片尺寸770x612