费马大定理公式

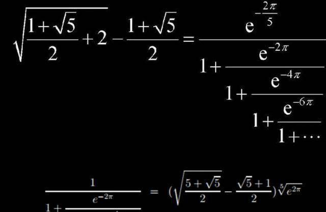
我的费马大定理等式公式是从勾股定理中导出的
图片尺寸524x565
怎样看待有人说他用初等数学方法证明了费马大定理?
图片尺寸586x478
费马大定理证明(中文版) - 知乎
图片尺寸629x541
费马大定理证明
图片尺寸894x722
费马大定理
图片尺寸565x205
费马大定理
图片尺寸534x406
读书笔记费马大定理
图片尺寸1080x810
费马大定理
图片尺寸640x375
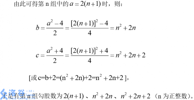
hdu6441findinteger费马大定理勾股数
图片尺寸736x405
hdu6441费马大定理勾股数
图片尺寸800x411
高数篇02费马定理
图片尺寸1263x530
费马大定理证明过程费马版
图片尺寸323x287
费马大定理证明doc
图片尺寸860x1216
费马大定理解封跨越三个半世纪的尘世之锁
图片尺寸640x397
"学渣"中的天才:只活了32岁,却留下了3900个公式!穿越?
图片尺寸640x417
如果要评选最伟大的数学方程,毕达哥拉斯定理(勾股定理),费马大定理
图片尺寸1000x1095
关于费马大定理的一个数论证明
图片尺寸1520x2048
「费马猜想」如何成为「费马大定理」!
图片尺寸1080x648
费马大定理和勾股数
图片尺寸650x453
guti-ch2-xiti_khdaw
图片尺寸840x1210