赫尔德不等式

赫尔德不等式
图片尺寸781x415
赫尔德不等式
图片尺寸920x1302
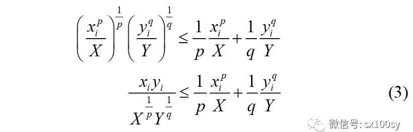
赫尔德不等式的介绍
图片尺寸566x343
赫尔德不等式
图片尺寸512x384
各种常用不等式汇总「建议收藏」
图片尺寸1169x675
证明:赫尔德不等式
图片尺寸631x242
赫尔德不等式
图片尺寸685x523
如何证明概率论中的赫尔德不等式
图片尺寸995x597
一种三角换元法解答,有点麻烦,现在利用赫尔德不等式简单解答如下解答
图片尺寸568x787
柯西不等式之二爸爸去哪儿赫尔德不等式h02lder详解难度四星cauchy
图片尺寸1256x785
赫尔德不等式
图片尺寸820x263
babyrudin一个关于赫尔德不等式的题
图片尺寸1068x483
赫尔德不等式及其应用
图片尺寸1444x2074
赫尔德不等式,奇偶常识结论,常数数列,讲了太多次了
图片尺寸480x853
赫尔德不等式
图片尺寸500x303
三元赫尔德不等式一些不等式的杂货
图片尺寸1440x716
柯西不等式的证明与赫尔德不等式
图片尺寸920x1302
赫尔德不等式
图片尺寸268x182
babyrudin一个关于赫尔德不等式的题
图片尺寸1050x909
宁波大学的陈计教授是一个什么样的人
图片尺寸827x961