软件接口图怎么画

*前端生成后端接口crud
图片尺寸1500x891
软件模块接口举例
图片尺寸1344x449
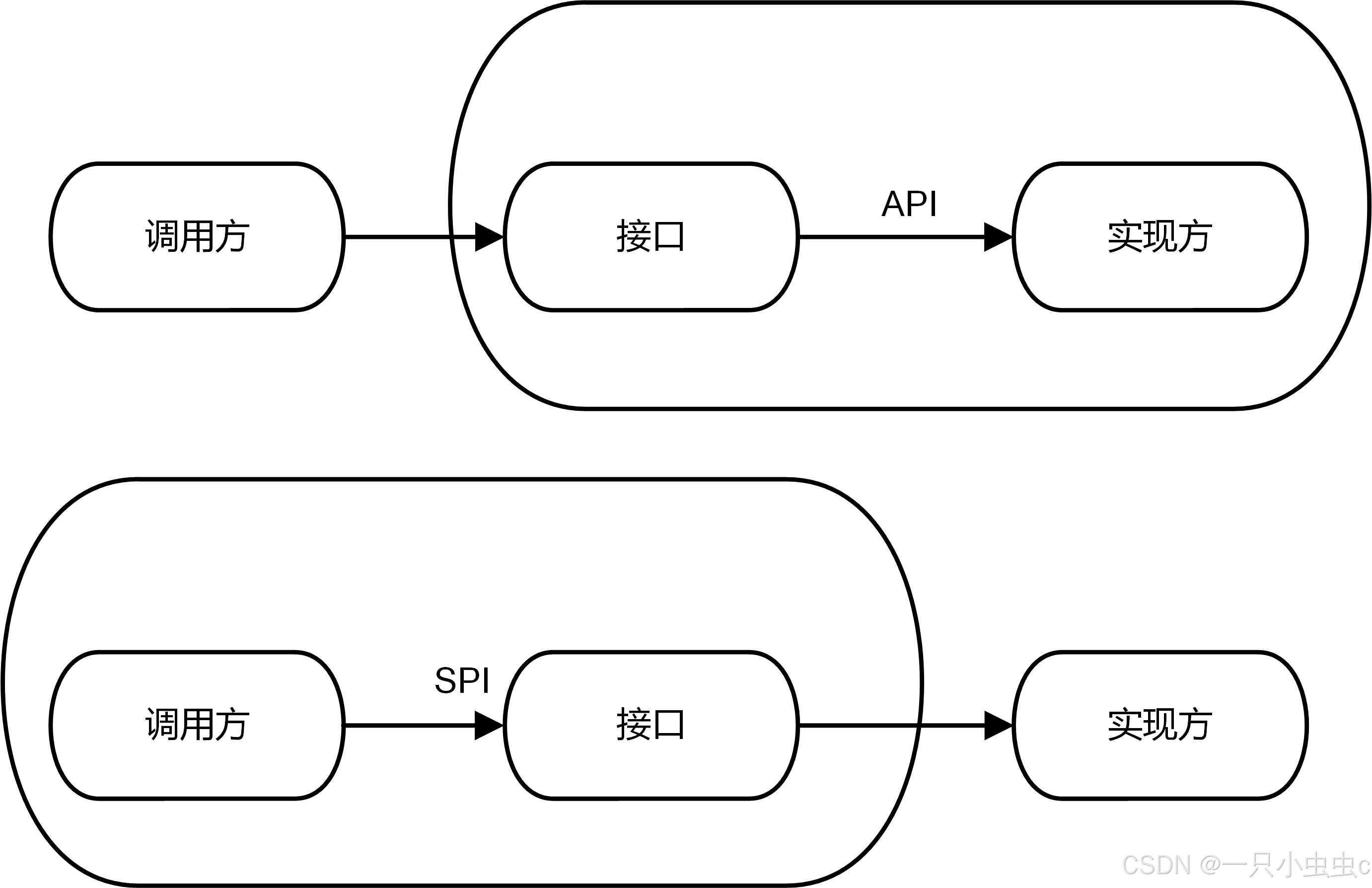
接口设计的那些事
图片尺寸1134x948
软件测试之接口自动化测试实战
图片尺寸1068x477
parlay应用程序接口
图片尺寸1730x1444
接口测试
图片尺寸1814x1260
软件定义时代,存储行业的"百家争鸣"
图片尺寸1260x1076
应用程序io接口
图片尺寸2218x1286
所有分类 it/计算机 计算机软件及应用 > arm
图片尺寸2555x2179
【愚公系列】软考中级
图片尺寸1780x888
软件及应用 计算机操作系统原理与核心设计
图片尺寸1080x810
图片尺寸630x418
专接本汇编9(并行接口8255a)ppt
图片尺寸1080x810
erp,mes与控制系统之间软件互联互通接口
图片尺寸2480x3508
上位机软件接口说明
图片尺寸551x583
基于学生选课系统的软件系统设计方案
图片尺寸1263x679
图片尺寸2763x1788
io接口
图片尺寸1938x1124
信息技术 增强现实 软件构件接口
图片尺寸636x315
同的系统由于其使用层次及涉及的数据不同,其软件结构也有很大的不同
图片尺寸891x479