连续x射线谱

阴极射线的电子流射到阳极靶材上,电子与靶材的原子碰撞产生x射线
图片尺寸354x320
多晶x射线衍射技术与应用2
图片尺寸776x874
3,连续x射线谱和标识x射线谱
图片尺寸273x376
图6 cnts和ag/agcl-cnts薄膜的x射线光电子能谱
图片尺寸3002x2344
x射线能谱随管电压的变化
图片尺寸827x587
x射线能量谱
图片尺寸580x523
图 四种f-tio 的x射线
图片尺寸3307x2772
医用物理学教案10_x射线ppt
图片尺寸1080x810
xrd谱图分析求助_x射线衍射仪(xrd)_x射线仪器_仪器论坛
图片尺寸700x489
图5 cnts和agcl-cnts薄膜的x射线光电子能谱
图片尺寸3092x2415
特征x射线是怎么产生的
图片尺寸434x317
x射线光电子能谱在固态锂离子电池界面研究中的应用
图片尺寸2677x1850
x射线谱
图片尺寸589x454
x射线光电子能谱的应用介绍
图片尺寸812x926
图01 铜靶在35kv下辐射x射线强度-波长分布曲线
图片尺寸841x456
图 pbt,pbso及pbso/pbt的x射线
图片尺寸1575x1313
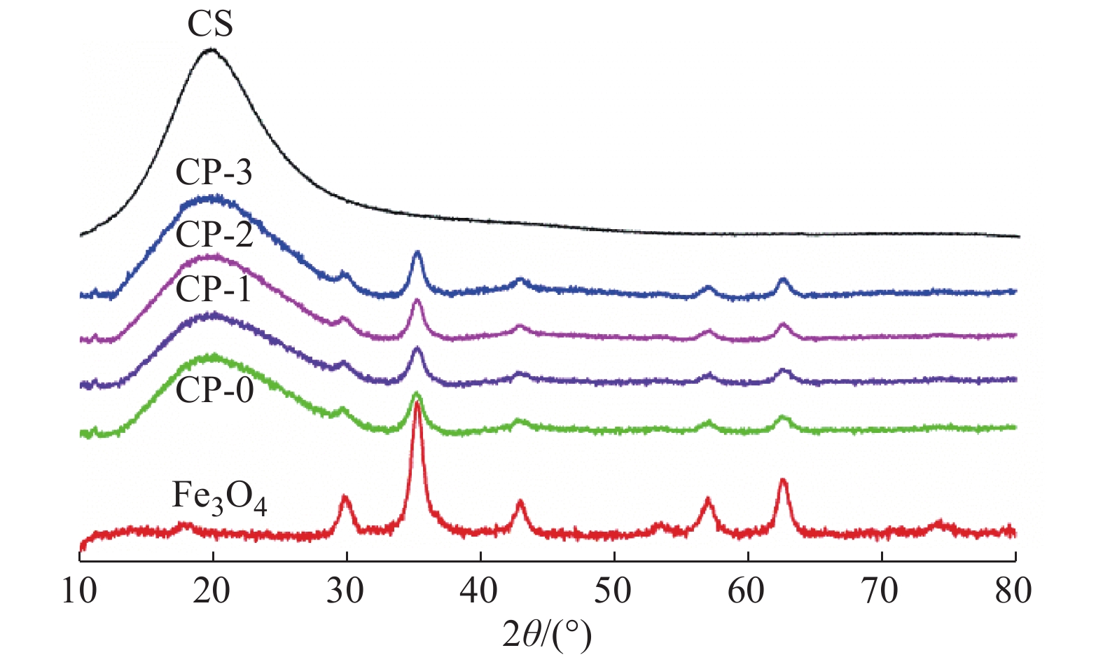
图 样品的x射线
图片尺寸1575x945
x射线光电子能谱
图片尺寸800x622
什么是x射线荧光(xrf)?
图片尺寸1612x788
图 生物合成次生铁矿物体系亚铁完全氧化时矿物x射线衍射图谱
图片尺寸927x488