透明质酸钠分子式

透明质酸钠
图片尺寸434x281
水解透明质酸钠水解透明质酸低分子透明质酸钠小分子透明质酸钠纳米
图片尺寸350x350
透明质酸99食品级透明质酸钠玻尿酸高中低分子量规格齐全现货
图片尺寸1570x1078
透明质酸钠
图片尺寸1000x1414
透明质酸
图片尺寸365x365
透明质酸钠
图片尺寸658x452
透明质酸钠 结构式
图片尺寸252x310
透明质酸钠滴眼液
图片尺寸553x166
透明质酸钠
图片尺寸600x600
透明质酸钠
图片尺寸216x88
透明质酸钠
图片尺寸750x320
水解透明质酸是降解透明质酸钠的一种主要方法,透明质酸钠一般分子
图片尺寸336x207
透明质酸钠
图片尺寸268x184
众山生物水解小分子透明质酸钠舒敏抗炎修复效果研究
图片尺寸731x419
曾比黄金贵15倍的透明质酸再度展露锋芒中国透明质酸钠还得看山东
图片尺寸393x190
acehya致润乙酰化透明质酸钠
图片尺寸446x343
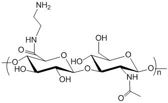
乙酰化透明质酸结构式在透明质酸分子的所有羟基与乙酸反应,形成乙酰
图片尺寸998x608
透明质酸钠
图片尺寸400x250
六种透明质酸及其衍生物的介绍
图片尺寸464x266
透明质酸的药理作用
图片尺寸428x238