邻甲基苯氧乙酸

邻乙氧基苯甲酸
图片尺寸615x416
苯氧乙酸
图片尺寸802x443
苯氧乙酸生产工艺流程_第1页
图片尺寸1860x2631
邻甲基苯氧乙酸 1878-49-5 品质可靠
图片尺寸800x800
邻甲基苯氧乙酸的制备方法-爱企查
图片尺寸2620x1208
苯氧乙酸
图片尺寸2480x3508
温氏大华农
图片尺寸2812x4000
安徽蓝田24%炔草酯 蓝田麦浪 麦无敌除草剂套唑草酮 - 抖音
图片尺寸1080x2004
吨黄金15%调环酸钙烯效唑 奥坤70%三氯吡氧乙酸丁氧 - 抖音
图片尺寸1152x2184
茂泰瑞农清绿佳 氯氟吡氧乙酸异辛酯 江苏万农迅畅苯甲嘧菌酯 - 抖音
图片尺寸1440x2672![乙酸碘苯[phi(oac)2]氧化苯乙烯直接制备苯甲腈](https://i.ecywang.com/upload/1/img2.baidu.com/it/u=2354115111,45013846&fm=253&fmt=auto&app=120&f=JPEG?w=885&h=500)
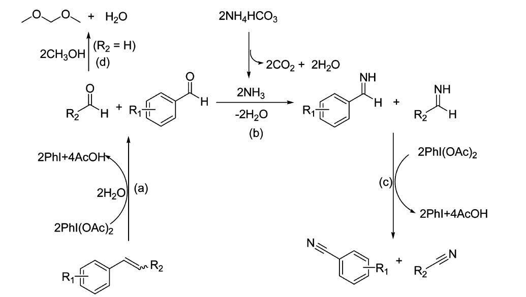
乙酸碘苯[phi(oac)2]氧化苯乙烯直接制备苯甲腈
图片尺寸1035x585
工业级邻苯二甲酸酐 国标苯酐 优势出库
图片尺寸1080x1440
济南天邦氯氟吡氧乙酸异辛酯 石硫合剂 苯磺隆 唑草 - 抖音
图片尺寸1080x1444
甲基甘氨酸二乙酸三钠mgda油田化学品助剂制浆造纸助剂汽车清洗剂
图片尺寸800x800
甲基甘氨酸二乙酸三钠盐 mgda-na 绿色螯合剂 二羧甲基丙氨酸三钠
图片尺寸800x800
邻甲基苯甲酸
图片尺寸694x571
噻索朗克 30%哒螨乙螨唑悬浮剂埃森480克/升三氯吡氧乙酸金正塔菲
图片尺寸1124x2088
三氯吡氧乙酸2甲4氯苯磺隆双氟磺草胺小麦田一年生阔叶杂草除草剂
图片尺寸3200x3200
中国苯氧乙酸烯丙酯(poe)行业市场现状及竞争格局复杂,国内企业以中国
图片尺寸1280x1280
mgdana3甲基甘氨酸二乙酸三钠可降解螯合剂-阿里巴巴
图片尺寸800x800