醇酸树脂结构式

醇酸树脂的制备1
图片尺寸963x199
醇酸树脂
图片尺寸400x400
第一节 醇酸树脂和聚酯树脂的复 合改性 (一)乙烯类化合物改性
图片尺寸1080x810
化学工程系之绿色涂料水性聚氨酯漆的研究毕业论文
图片尺寸288x255
短油度水性醇酸树脂的合成工艺研究
图片尺寸2030x2150
醇酸树脂的制备及应用
图片尺寸674x291
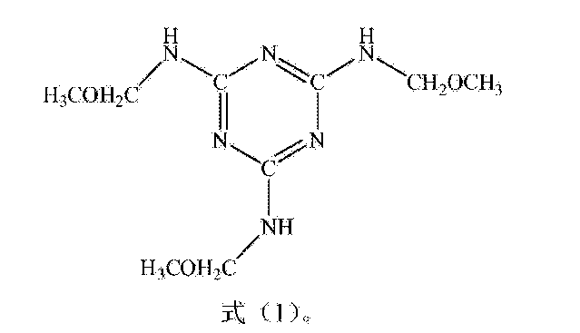
一种聚氨酯氨基树脂改性水性醇酸树脂及制备与应用
图片尺寸639x367
1,用作醋酸纤维素,丙烯酸树脂,醇酸树脂,涂料,油墨等的溶剂,染料的粘
图片尺寸401x304
顺丁橡胶,制备醇酸树脂的原料m以及杀菌剂n的合成路线如下:已知:(1
图片尺寸519x141
丙烯酸改性醇酸树脂
图片尺寸600x400
共轭改性大豆油制备醇酸树脂包膜尿素及其肥效
图片尺寸1202x592
中国醇酸树脂行业市场前景分析预测报告(目录)
图片尺寸654x427
醇酸树脂树脂 - 2020年最新商品信息聚合专区 - 百度爱采购
图片尺寸647x433
醇酸树脂是一种成膜性好的树脂,下面是一种醇酸树脂的合成线路
图片尺寸569x321
(2014北京)顺丁橡胶,制备醇酸树脂的原料m以及杀菌剂n的合成路线如下
图片尺寸529x195
广东中山厂家 醇酸树脂大量批发零售.#全国发货欢迎合作 #涂 - 抖音
图片尺寸790x1049
(2014北京)顺丁橡胶,制备醇酸树脂的原料m以及杀菌剂n的合成路线如下
图片尺寸159x82
多途径的改性,发展不同特性的新产品根据油脂和醇酸树脂分子结构的
图片尺寸592x351
醇酸树脂 回收醇酸树脂价格.#回收醇酸树脂 #醇酸树脂回收价 - 抖音
图片尺寸800x800
【脂肪酸占比醇酸树脂】脂肪酸占比醇酸树脂
图片尺寸567x567