醉驾忏悔书模板

醉驾悔过书_0.doc
图片尺寸993x1404
醉驾悔过书范文共8篇精简版
图片尺寸920x1302
醉驾悔过书怎么写共10篇精简版
图片尺寸920x1302
酒驾检讨书精品范文
图片尺寸920x1191
酒后驾车检讨书docx
图片尺寸800x877
酒驾悔过书
图片尺寸920x1302
青浦区检察院积极探索醉驾案件不起诉集中训诫悔过教育工作
图片尺寸1080x1383
醉驾悔过书
图片尺寸290x410
酒后驾车检讨书范文4篇
图片尺寸920x1302
男子实习期醉驾被查 写下千字悔过书
图片尺寸600x800
合同问答 常用文书 醉驾谅解书要价多少刑事谅解书模板 3下单 ¥9.
图片尺寸793x1122
酒后驾驶检讨书精选3篇
图片尺寸920x1303
酒后驾驶的检讨书范例三篇doc
图片尺寸920x1302
酒后驾车检讨书范文(20页)【docx下载】
图片尺寸800x1132
回顾贾静雯嫁两夫生三女与前夫冰释前嫌后现任老公帮我们拍照
图片尺寸947x947
9 刑事谅解书模板 3下单 ¥9.9 寻衅滋事谅解书 0下单 ¥9.
图片尺寸793x1122
醉驾司机写给曲靖公安交管部门的一封悔过书
图片尺寸599x800
最新酒后驾车检讨书格式样本一览
图片尺寸920x1302
酒后驾车检讨书范文
图片尺寸920x1302
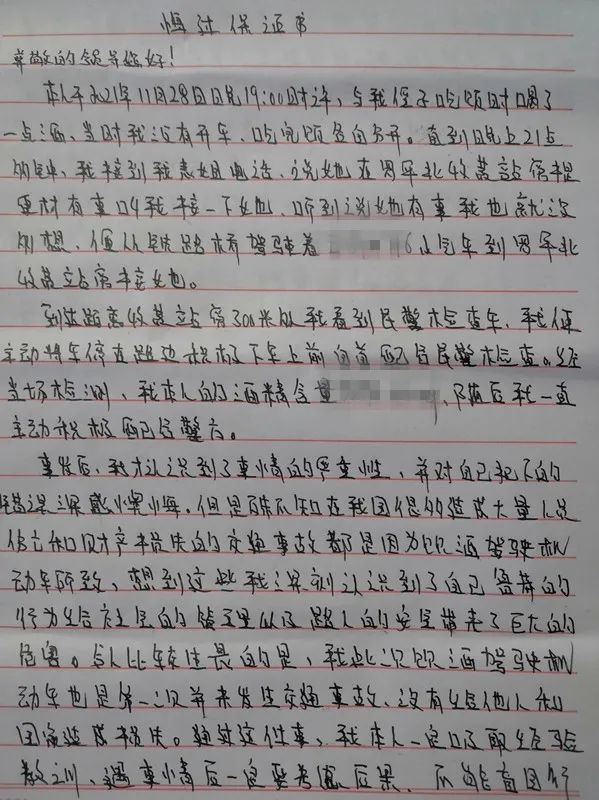
原来,这是一名醉驾被罚的司机曾某送来的,上面写
图片尺寸1080x1318