重氮化反应

2重氮化反应和偶合反应pdf16页
图片尺寸972x729
重氮化反应机理
图片尺寸1063x759
9重氮化反应
图片尺寸925x357
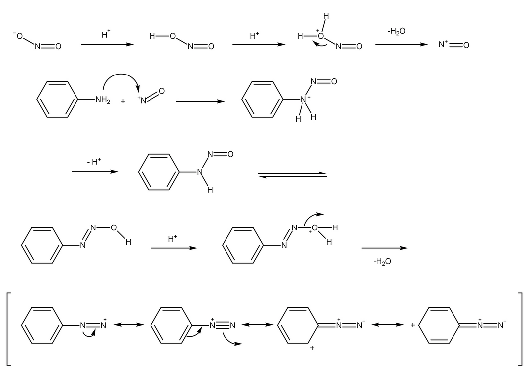
一, 重氮化反应——重氮盐的制备 伯芳胺在低温及强酸(主要是盐酸或
图片尺寸1080x810
重氮化过程参考tiffeneau–demjanov重排.
图片尺寸1080x821
5重氮化与偶联反应.pdf
图片尺寸792x594
重氮化反应
图片尺寸1080x810
重氮化反应介绍_第1页
图片尺寸1500x1125
化工仪器网 技术中心 解决方案 正文为了减少重氮化反应过程中副反应
图片尺寸1000x401
重氮化反应
图片尺寸600x407
重氮化反应
图片尺寸270x225
章重氮化反应ppt学习教案
图片尺寸920x690
重氮化反应介绍
图片尺寸920x690
重氮化反应ppt
图片尺寸1080x810
tris的重氮化反应
图片尺寸964x602
重氮化和偶合反应.doc
图片尺寸792x1120
大学化学 有机化学 关于重氮盐的偶连反应 详细解释一下,最好发个图片
图片尺寸2592x1728
有机人名反应——重氮化反应(diazotisation)
图片尺寸540x224
重氮化和重氮盐的反应ppt
图片尺寸800x600
重氮化反应
图片尺寸603x348